1 引言 采用变频器驱动异步电动机调速。在异步电动机确定后,通常应根据异步电动机的额定电流来选择变频器,或者根据异步电动机实际运行中的电流值(最大值)来选择变频器。当运行方式不同时,变频器容量的计算方式和选择方法不同,变频器应满足的条件也不一样。选择变频器容量时,变频器的额定电流是一个关键量,变频器的容量应按运行过程中可能出现的最大工作电流来选择。变频器的运行一般有以下几种方式。
2 连续运转时所需的变频器容量的计算 由于变频器传给电动机的是脉冲电流,其脉动值比工频供电时电流要大,因此须将变频器的容量留有适当的余量。此时,变频器应同时满足以下三个条件:

screen.width-461) window.open('/edit/UploadFile/2009418145123726.jpg');">
式中:PM、η、cosφ、UM、IM分别为电动机输出功率、效率(取0.85)、功率因数(取0.75)、电压(V)、电流(A)。
K:电流波形的修正系数(PWM方式取1.05~1.1)
PCN:变频器的额定容量(KVA)
ICN:变频器的额定电流(A)
式中IM如按电动机实际运行中的最大电流来选择变频器时,变频器的容量可以适当缩小。
3 加减速时变频器容量的选择
变频器的最大输出转矩是由变频器的最大输出电流决定的。一般情况下,对于短时的加减速而言,变频器允许达到额定输出电流的130%~150%(视变频器容量),因此,在短时加减速时的输出转矩也可以增大;反之,如只需要较小的加减速转矩时,也可降低选择变频器的容量。由于电流的脉动原因,此时应将变频器的最大输出电流降低10%后再进行选定。
4 频繁加减速运转时变频器容量的选定
根据加速、恒速、减速等各种运行状态下的电流值,按下式确定:
I1CN=[(I1t1+I2t2+…+I5t5)/(t1+t2+…t5)]K0
式中:I1CN:变频器额定输出电流(A)
I1、I2、…I5:各运行状态平均电流(A)
t1、t2、…t5:各运行状态下的时间
K0:安全系数(运行频繁时取1.2,其它条件下为1.1)
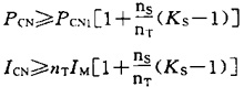
5 一台变频器传动多台电动机,且多台电动机并联运行,即成组传动 用一台变频器使多台电机并联运转时,对于一小部分电机开始起动后,再追加投入其他电机起动的场合,此时变频器的电压、频率已经上升,追加投入的电机将产生大的起动电流,因此,变频器容量与同时起动时相比需要大些。
以变频器短时过载能力为150%,1min为例计算变频器的容量,此时若电机加速时间在1min内,则应满足以下两式

screen.width-461) window.open('/edit/UploadFile/2009418145123871.jpg');">
若电机加速在1mn以上时

screen.width-461) window.open('/edit/UploadFile/2009418145123675.jpg');">
式中:nT:并联电机的台数
ns:同时起动的台数
PCN1:连续容量(KVA) PCN1=KPMnT/ηcos
PM:电动机输出功率
η:电动机的效率(约取0.85)
cosφ:电动机的功率因数(常取0.75)
Ks:电机起动电流/电机额定电流
IM:电机额定电流
K:电流波形正系数(PWM方式取1.05~1.10)
PCN:变频器容量(KVA)
ICN:变频器额定电流(A)
变频器驱动多台电动机,但其中可能有一台电动机随时挂接到变频器或随时退出运行。此时变频器的额定输出电流可按下式计算:

screen.width-461) window.open('/edit/UploadFile/2009418145124766.jpg');">
式中:IICN:变频器额定输出电流(A)
IMN:电动机额定输入电流(A)
IMQ:最大一台电动机的起动电流(A)
K:安全系数,一般取1.05~1.10
J:余下的电动机台数
6 电动机直接起动时所需变频器容量的计算 通常,三相异步电动机直接用工频起动时起动电流为其额定电流的5~7倍,对于电动机功率小于10kW的电机直接起动时,可按下式选取变频器。
I1CN≥IK/Kg
式中:IK:在额定电压、额定频率下电机起动时的堵转电流(A);
Kg:变频器的允许过载倍数 Kg=1.3~1.5
在运行中,如电机电流不规则变化,此时不易获得运行特性曲线,这时可使电机在输出最大转矩时的电流限制在变频器的额定输出电流内进行选定。
7 大惯性负载起动时变频器容量的计算
通过变频器过载容量通常多为125%、60s或150%、60s。需要超过此值的过载容量时,必须增大变频器的容量。这种情况下,一般按下式计算变频器的容量:

screen.width-461) window.open('/edit/UploadFile/2009418145124370.jpg');">
式中:GD2:换算到电机轴上的转动惯量值(N・m2)
TL:负载转矩(N・m)
η,cosφ,nM分别为电机的效率(取0.85),功率因数(取0.75),额定转速(r/min)。
tA:电机加速时间(s)由负载要求确定
K:电流波形的修正系数(PWM方式取1.05~1.10)
PCN:变频器的额定容量(KVA)
8 轻载电动机时变频器的选择
电动机的实际负载比电动机的额定输出功率小时,多认为可选择与实际负载相称的变频器容量,但是对于通用变频器,即使实际负载小,使用比按电机额定功率选择的变频器容量小的变频器并不理想,这主要是由于以下原因;
1) 电机在空载时也流过额定电流的30%~50%的励磁电流。
2) 起动时流过的起动电流与电动机施加的电压、频率相对应,而与负载转矩无关,如果变频器容量小,此电流超过过流容量,则往往不能起动。
3) 电机容量大,则以变频器容量为基准的电机漏抗百分比变小,变频器输出电流的脉动增大,因而过流保护容量动作,往往不能运转。
4) 电机用通用变频器起动时,其起动转矩同用工频电源起动相比多数变小,根据负载的起动转矩特性,有时不能起动。另外,在低速运转区的转矩有比额定转矩减小的倾向,用选定的变频器和电机不能满足负载所要求的起动转矩和低速区转矩时,变频器和电机的容量还需要再加大。
以上介绍的是几种不同情况下变频器的容量计算与选择方法,具体选择容量时,既要充分利用变频器的过载能力,又要不至于在负载运行时使装置超温。有些制造厂(如ABB公司)还备有确定装置定额软件,只要用户提出明确的负载图就可以确定装置的输出定额。