你的位置: 首页 > 电工配件 > 步进伺服

步进电机细分电波形的选择

2016-10-30 15:25:41 | 人围观 | 评论:

1引言
    步进电动机采用细分驱动能提高分辩率,减少力矩波动,解决步进电动机的低频共振。如何选取细分电流,使步进电动机的微步距角更均匀,一直是细分技术所要解决的主要问题。本文从获得圆型旋转磁场来确定细分电流,找出较佳的细分方案,得到了满意的细分效果。
2对细分电流的基本要求
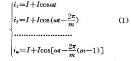
    对于打m相步进电动机,各相绕组之间是空间对称的,当通以m相对称电流时,就会产生旋转磁势和磁场,其中主要是基波旋转磁势和磁场。理想的磁场应当是一个圆型旋转磁场,由于步进电动机的空间谐波分量较丰富,要想获得一个接近圆型的旋转磁场,各相电流应为对称的正弦波,即:
    对非正弦的电流波形,就应尽量消除电流中的高次谐波分量。因此,对细分电流波形的基本要求是:
  a.m相步进电动机的相电流的相互相角差应是2π/m电角度。
  b.相电流中基波分量要大,高次谐波分量要少。
  第一条是产生旋转磁势的必要条件。对于第二条,相电流中的基波分量大,电机转矩大;高次谐波分量少,步距细分均匀度高[1,2]。
3细分方法与几种电流波形的比校
  对m相步进电动机,一个步距为2π/m电角度。若把一个步距变为n个微步,可把电流波形在2π/m电角度内做n次等距细分,取各相细分点电流来驱动步进电动机,从而实现一个步距的n次细分。
    不同的细分电流波形,会有不同的细分效果。在电流的高次谐波分量中,其主要成分是2次与3次谐波。为观察高次谐波对步距细分均匀度的影响,选取几种含有不同谐波成分的电流波形加以比较。
    设一周期函数如图1所示,在(O,π)区间此函数的表达式为:
    为分析波形所含谐波成分,用富氏级数把此周期函数展开,则:
   
    对图1,只要确定X1、X2的值,就可得到不同的波形,且由式(5)可知波形所含的谐波附。附表列出了3种波形的X1与X2的取值与所含主要的谐波。
    从附表可以看到波形a有较大的2次谐波,2次谐波的幅值为基波幅值的百分之25。波形b有较大的3次谐波,3次谐波的幅值为基波幅值的百分之22.2,波形c的2、3次谐波都为零,且基波分量较大。
     若以波形a、b、c作为细分电流波形,从获得较佳的细分效果的基本要求来看,波形a.b都不满足基本要求,因为波形a、b中含有较大的2次或3次谐波,2,3次谐波的存在将会使步进电动机的步距细分均匀度较差。波形c满足基本要求,它的高次谐波分量少,特别是不含有2、3次谐波。因此,它的细分效果较好,且步距细分均匀度与正弦波的步距细分均匀度相似。
4试验结果
   用BF159075-C塑三相反应式步进电
   动机做细分驱动试验。细分电流由微机,D/A转换器经驱动线路实现[3]。图2是对应于表1的细分电流波形与正弦细分电流波形,把电流波形在120度(电角度)内作32等距细分,取细分点电流输出,从而实现一个步距的32细分。
     微步距的测试装置采用一个电磁传感器,线圈固定在步进电动机的轴上,步进电动机微步运动时,线圈切割恒定磁场,感应出电压信号,用记忆示波器记出,由此信号可观察出步进电动机的微步运行状态。
   图3a、b、c、d是对应于图2a、b、c、d4种细分电流波形测得的试验曲线。这些曲线是在空载、低速时测得的。曲线中的每一个小脉冲代表一个微步。当步进电动机每一微步的角位移相同时,各小脉冲的峰值应相等。峰值的包络线反映了步进电动机的微步位移,峰值的包络线较平坦,步进电动机的步距细分均匀度就高。否则,步距细分均匀度就较差。
    从试验曲线可看到,图3a、b曲线的峰值包络线起伏较大,因而其步距细分均匀度较差,它们的细分电流波形含有较大的2次或3次谐波。图3c、d曲线的峰值包络线起伏较小,说明其步距细分均匀度较好,它们的细分电流波形不含有2、3次谐波。
结 
 a.采用此细分方法,在细分电流波形中,2次或3次谐波分量的存在,都会对步进电动机的步距细分均匀度产生不利影响。
  b.按基本要求选择的梯形纲分电流波形(不含2、3次谐波),其步距细分均匀度较好,且与正弦细分电流波形的步距细分均匀度相似。在正弦波不宜实现的细分驱动线路中,采用此梯形细分驱动电流波形,同样会取得较好的细分效果。




标签: