2017-02-03 15:35:00 | 人围观 | 评论:

式中,P为流量节流装置前后的压差,q为瞬时流量。由于流体的性质所决定,节流装置测得的压差与流量的关系是平方及平方根的关系。


式中K为流量计的仪表系数,单位为脉冲数/m3。K除了与旋涡发生体、管道的几何尺寸有关外,还与斯特劳哈尔数有关。斯特劳哈尔数为无量纲参数,它与旋涡发生体形状及雷诺数有关,图6所示为圆柱状旋涡发生体的斯特劳哈尔数与管道雷诺数的关系图。



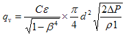
式中qm为质量流量(kg/s);qv为体积流量(m3/s);C为流出系数;ε为可膨胀性系数;d为节流件开孔直径;β为直径比,β=d/D;D为管道内径;ρ1为被测流体密度,kg/m的;△P为差压。
全站搜索