在电路中电容有一个很重要的作用,就是通交流、隔直流。若一个直流电压加在电容的一端,则电容稳定后 (即充放电过程完成后),在电容的另一端不能感受到这个电压,即直流被隔开,这一点我们从RC充放电回路也可以看出来;若输入Vi是一个交流信号,则Vo 会输出同频率的交流信号,且输入交流信号频率越高,输出Vo的幅度就越大,即交流信号通过了这个电容。
其实我们可以这样来理解,交流信号的幅度和方向都是随时间变化的,而电容对电压的反应是有隋性的,即它 两端的电压不能突变。当电容器一个极板的电位随输入信号变化较快时,电容器两端的电压变化较慢,则引起它的另一个极板的电位也跟着以同样的方式变化。这样 以来,虽然有一些损失(电容两端电压毕竟变化了一点),但也相当于交流信号通过了这个电容器。而且,输入信号变化的越快(即频率越高),电容器容量越大 (即它两端的电压变化越慢),就越容易通过。
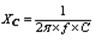
在电路中,电容器C对信号的容抗为:

式中f为信号的频率,单位为赫兹,容抗XC的单位为欧姆。
全站搜索