你的位置: 首页 > 家电弱电 > 电源

电源输出电压双向调节电路

2016-12-17 18:01:24 | 人围观 | 评论:

    本设计实例介绍了一种基于OVP/UVP测试、负载余量测试、电压可编程性或其它任何理由而需要调节电源输出电压的方法。

    图1电源输出电压双向调节电路。


    图1所示电路可以通过向反馈节点输出或输入电流实现电源输出电压的双向调节。它可以通过开关进行人工操作,也可以通过三个输入:S1 (STEP)、S2 (RESET)和S3 (U/D)进行数字操作。
    S1信号的每个上升沿都会使输出电压VO增加或减小一个步距(在本设计中约为95mV)。S3控制调节方向(上/下),S2将VO复位到标称值。
    单独使用U4B可确保:
    1.每按压一次S1(S1要去反弹)增加一个步距。
    2.有足够时间等待UUT保护电路作出反应。
    由U5和U6组成的调节电路特点是有一个压控的电流宿/源(VCCS)。U3B和U3C用于上移VCCS的参考点,以便:
    1.参考点具有与Vref_ps相同的电平且位于中心。这样,在中立条件下(比如在复位时),VW = 0.5Vref1 ≈ Vref2, Itrim≈0, VO≈VO(nominal)。
    2.这个电路可以使用单电源,同时仍能输入和输出电流。
    差分放大器U5产生Itrim并用以调节VO的幅度,通过使电流流入Vtrim节点来降低VO,或吸入电流来提升VO。U6是一个增益等于1的仪表放大器,用于将检测到的电流反馈给U5。
    U1/U3C电路产生两个参考电压Vref1和Vref2。其中Vref1是用于控制信号Vw的参考电压。Vref2则匹配UUT的1.25V参考电压。
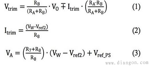
    公式(1)、(2)和(3)可以用来配置这个电路以获得不同的VO值:

    下面这个例子将图1的参数插入上述公式:
    从公式(1)我们可以得到:

    因此针对±25%的VO变化范围(即30V至18V),Itrim的范围为-26μA至+25μA。
    VW的范围是0V至2.5V。将这个数值代入公式(2)得到R8≈48kΩ。
    根据公式(3):

    如果R7=100Ω,那么VA(VW=0) ≈ 0V,并且VA(VW=2.5V) ≈ 2.5V
    假设U2有128个步距,那么VW、Itrim和VO的分辨率分别是20mV、406nA和95mV。

    图2显示了一些关键点的波形。在第一象限里,VO (Ch3)随着每个时钟脉冲从标称值开始呈线性下降,直到在18V左右达到饱和。在大约半途中,S2被按下,将VO复位至标称值,S3闭合。VO再随着每个时钟脉冲上升到29.5V的上限值。
    当U2的滑动片处于中心位置时,Vref2和Vref_ps之间的任何失配都会给Itrim带来偏移,从而使VO偏离标称值。如果需要的话可以进行调节补偿。
    上述电路由一个5V电源供电,其电流消耗不到2mA。在一些应用中,VO可以针对这种情况进行调节和使用。





标签: