共集电极放大电路如图1(a)所示,它是由基极输入信号,发射极输出信号,故也称射极输出器。而从交流通路来看,电源VCC对交流信号相当于短路,所以集电极成为输入和输出回路的公共端,故称共集电极放大电路。图1(b)是交流通路。

(1)静态分析
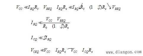
共集电极放大电路的直流通路如图2,由图可知:

射极输出器中的电阻Rg,还具有稳定静态工作点的作用。例如,当温度升高时,由于ICQ增大,IEQ增大使Rg上的压降上升,导致 VBEQ下降,从而牵制了ICQ的进一步上升,最终稳定了静态工作点。
(2)动态分析
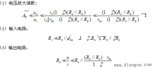
画出图1(a)所示电路的微变等效电路如图3所示:


由以上分析可见,共集电极电路的主要特点是:电压增益接近于1;故称电压跟随器;输入电阻大,对电压信号源衰减小;输出电阻小,带负载能力强。
全站搜索