2016-10-24 14:07:36 | 人围观 | 评论:
运算放大器工作在线性区时,通常要引入深度负反馈。所以,它的输出电压和输入电压的关系基本决定于反馈电路和输入电路的结构和参数,而与运算放大器本身的参数关系不大。改变输入电路和反馈电路的结构形式,就可以实现不同的运算。
1、比例运算
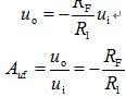
(1)反相比例运算

反相比例运算电路的输出电压和电压增益分别为

因存在“虚短”和“虚断”现象,故有U_=U+=0,即反相输入端电压近似为零,此现象称反相输入端“虚地”,此为反相输入的重要特点。
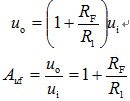
(2) 同相比例运算

同相比例运算电路的输出电压和电压增益分别为

,称电压跟随器。
2、 加法运算
(1) 反相加法运算
反相加法运算电路的输出电压为 ![]()
(2) 同相加法运算
同相加法运算电路的输出电压为![]()
3、减法运算
减法运算电路的输出电压为![]()
4、积分运算
积分运算电路的输出电压为![]()
5、微分运算
微分运算电路的输出电压为![]()
全站搜索