2016-11-29 13:34:50 | 人围观 | 评论:
动态电路所满足的电路方程称为输入输出方程。
基尔霍夫定律是分析电路的根本定律,适用于线性电路、非线性电路、时不变电路、时变电路。
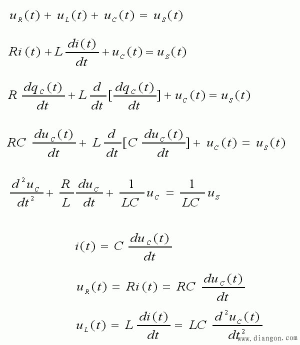
对于一个简单的动态电路,已知电路元件参数 R、L、C,和电压源 us(t) ,求电容两端电压 uC (t) :


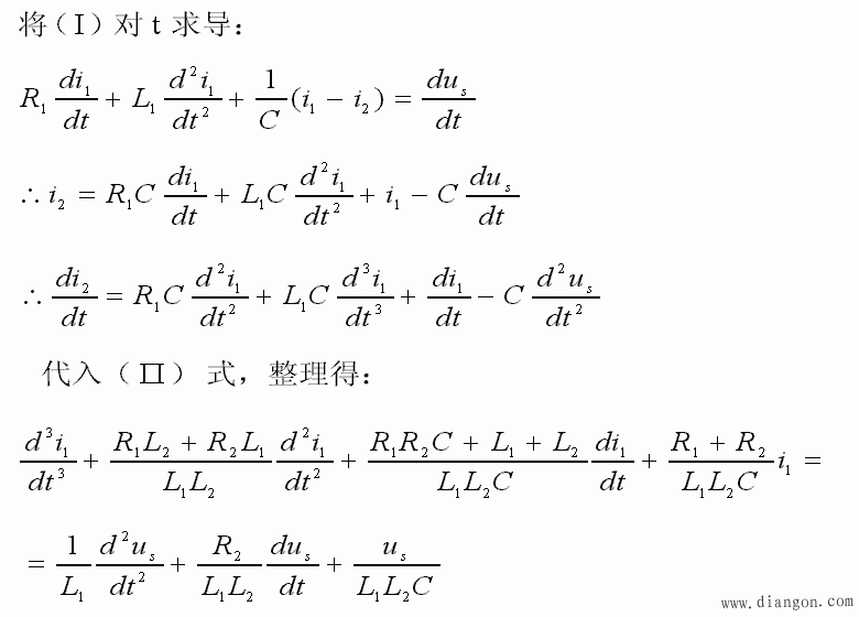
对于一个较复杂的动态电路,已知电路元件参数R1、L1、C1、R2、L2、C2,和电压源 us( t ) ,求电流 i1 ( t ) 随时间的变化:



由以上分析可得结论:对于一般的动态电路,运用基尔霍夫定律,总可以得到一个单未知量的输入输出方程。电路越复杂,动态元件越多,得到的微分方程的阶数越高。
全站搜索