2016-12-05 17:27:23 | 人围观 | 评论:
负反馈能展宽通频带,如图所示,那为什么开环和闭环幅频特性在低频段和高频段逐渐趋向重合呢?

图 负反馈展宽通频带的波特图说明
因为在频率很高和很低时,开环增益已降到很小,负反馈作用随之削弱。此时开环和闭环幅频特性在低频段和高频段逐渐趋于重合。现以低频段为例,加以具体说明。
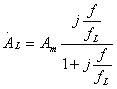
为便于讨论,设放大电路在低频段只有一个极点,则开环增益为
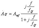
闭环增益为

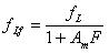
其中:
,
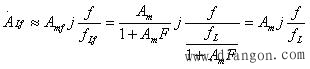
当f很低时,
开环增益:
,闭环增益:
即开环和闭环幅频特性在低频段近似重合。
在高频段也可仿照如上方法同样证明,所以开环和闭环幅频特性在低频段和高频段逐渐趋于重合。
全站搜索