2016-12-14 12:27:45 | 人围观 | 评论:
的增减来判断正负反馈:当
时,
,为负反馈;当
时,
,为正反馈。这两种说法其实是一致的。因为: 净输入量:
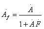
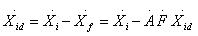
,即:
所以,
--------------- ①
由式1可知,当
时,
输入量减小,而按闭环增益表达式,
所以均确认为负反馈。反之,当
时,
,净输入量增大,
所以均确认为正反馈。可见根据净输入量的变化来判断正负反馈和根据闭环增益的变化来判断正负反馈其实是一致的。
全站搜索