2016-12-14 12:27:27 | 人围观 | 评论:
当负反馈放大电路产生自激振荡时,需通过加补偿电路的方法消振,最简单易行的方法是加滞后补偿电容,简单滞后补偿的缺点是使频带变窄。滞后补偿的原则是在消振的前提下使放大电路频带的变化尽可能小。那么应在哪一级加补偿电容呢?
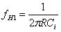
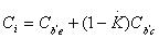
若直接耦合放大电路引入交流负反馈,且反馈网络是纯电阻网络,则说明附加相移仅由放大电路产生。加滞后补偿电容是为了让主极点频率下降,所以在消振时,理论上应该在放大电路中上限频率最低的一级加消振电容,因而确定哪一级的上限频率最低是关键。可根据频率响应的基本知识估算上限频率,例如对于共射放大电路,上限频率
,
为发射结等效电容,R为
所在回路的等效电阻。由于
,式中
为中频电压放大倍数,为负值。
因而电压放大倍数最大的那一级往往是上限频率最低的。如在三级电压放大电路中,中间级常为主放大级,放大倍数的数值最大,因而消振电容常加在中间级放大管的基极和地之间或c-b之间。
例如,图所示的放大电路中,由于第一级和第三级均在发射极接有射级电阻,电压放大倍数的数值通常均比第二级小,因此,若产生高频振荡,则应考虑在T2管基极与地之间或T2的b-c之间加一小电容。当然,如已知电路的具体参数,则可通过计算来粗略估算补偿电容C的大小。

图 加补偿电容克服自激
全站搜索