2016-12-14 12:46:01 | 人围观 | 评论:

例如,图1(a)中,以P点电位作为输入,电路为同相比例运算电路,电压放大倍数即为比例系数,决定于负反馈网络

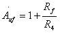
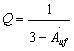
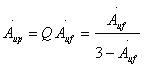
列M、P的节点电流方程可得电路的中心频率
、品质因数Q、通带放大倍数
,

可见,以上指标均与负反馈网络的参数密切相关。
再例如,在图1(b)所示电路中,当信号频率趋于零时,C1、C2、C3相当于开路,N点是虚地,等效电路如图所示,输出电压
。但随着信号频率的升高,输入电压可以直接传输到输出,故该电路为高通滤波器。
通带放大倍数如何确定?

由于C2的容抗趋于零,使M电位趋于N点电位,即趋于零,所以R1中电流也随之趋于零;R2中的电流远小于C3中的电流,因而等效电路如图2(b)所示,C1的电流等于C3的电流,即:

由此,可得通带放大倍数

它取决于输入端电容C1和反馈电容C2之比。
全站搜索