主从型触发器的翻转特点是分接收和翻转二个节拍动作。
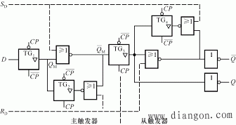
1. CMOS主从D功能触发器,RD,SD是高电平置0和置1。

(1)CP=0,
=1时,TG1、TG4接通,TG2、TG3断开,主触发器接收D信息,从触发器状态不变;
。
(2)CP=1,
=0时,TG1、TG4断开,TG2、TG3接通,主触发器保持原接收的D信息,从触发器状态跟主触发器状态翻转;
。可见电路是一个上升沿触发的D功能触发器。
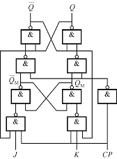
2. TTL主从JK功能触发器
电路由两个高电平触发的RS触发器组成,它同样在一个CP下分二个节拍动作。CP=1时,主触发器接收信息,存放在QM中(按JK功能存放),而从触发器状态不变;CP=0时,主触发器封锁,原存放在QM中的信息不变(按JK功能存放),从触发器状态按主触发器QM状态翻转;
触发器逻辑功能小结:
1. RS三种功能:置0,置1,保持,约束RS=0;
2. D二种功能:置0,置1;
3. JK四种功能:置0,置1,保持,翻转(计数);
4. T二种功能:翻转,保持。
功能描述方法(JK触发器为例):
次态函数(特性方程):![]()

触发器功能转换是指一种功能的触发器可以转换成另一种功能,如D功能可转换成JK功能。因为JK特性方程
,而D特性方程:
,所以,转换电路的方程为:
。
转换方案:
转换后的电路:
几个常用的转换结论:
(1)RS→D:S=D,R=
。
(2)RS→翻转触发器(T’):S=
,R=
。
(3)JK→D:J=D,K=
。
(4)JK→T:J=K=T。
(5)T’:J=
,K=
。
(6)D→T’:D=
。
全站搜索