2016-12-17 15:59:02 | 人围观 | 评论:
在上述条件下,把晶体三极管看成一个双口网络,并把b-e作为输入口,c-e为输出口,则网络外部的端电压和电流关系就是晶体管的输入特性和输出特性。如图所示:

可以写成如下关系式:
,式中,
是各电量的瞬时总量。在低频小信号条件下,研究各变化量之间的关系,对两关系式求全微分得:
,式中,
代表
的变化量部分,则有:
。
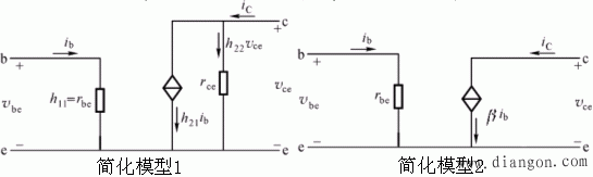
晶体三极管的低频小信号模型如下:

由电路网络理论得出:
,其中,
是晶体管输出交流短路时的输入电阻(动态输入电阻);
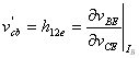
是晶体管输入交流开路时的内电压反馈系数(很小);
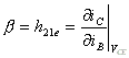
是晶体管输出交流短路时的电流放大系数;
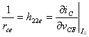
是输入交流开路时的输出电导(晶体管输出电阻的倒数)。
由于内电压反馈系数
很小,常略。而输出电导也很小,输出电阻很大。所以,晶体三极管的低频小信号模型如下:

在应用三极管低频小信号模型时应注意:
①只适用于低频小信号条件下;
②变化量或交流分量,不允许出现直流量或瞬时量符号;
③模型中的参数,与Q点有关,不是固定常数;
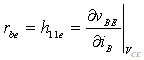
④电流源“βib” 方向和大小由ib 决定;
⑤β和rbe可用H参数测试仪测得,而rbe可用公式估算 :
,其中,rbb′为晶体三极管的基区体电阻,约为100~300Ω;VT=26mV(室温下,是电压的温度档量);IEQ为发射极静态电流。rbe公式的推导可参阅《模拟电子技术基础》高教出版社出版,清华大学童诗白,华成英主编(三版)。
二、场效应管的低频小信号模型
晶体三极管的低频小信号模型相同,场效应管在低频小信号的条件下,在特性曲线Q点附近的某一小段曲线,同样可以等效成一条直线。不管是结型的还是MOS场效应管,由于栅极都不取电流,而漏源之间相当于是电压控制电压源,所以有如下的低频小信号模型。

图中gm:低频跨导,它表征了ΔVGS对ΔiD的控制能力。rds:输出电阻(动态电阻),通常可忽略。受控电流源方向:对6种类型FET都适用。
全站搜索