2018-09-17 16:32:42 | 人围观 | 评论:

1、运用逻辑函数表达式进行分析
运用逻辑函数表达时进行分析的方法,是从输入端到输出端逐级写出每一个逻辑单元的逻辑函数表达式,得出最终的逻辑函数表达式,并简化为最简形式,据此确定该电路的逻辑功能。
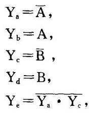
以下图所示组合逻辑电路为例,该电路具有两个输入端A和B,具有4个输出端T1,Y2,Y3,Y4。各级逻辑函数表达式如下。



从逻辑函数表达式可知:当输入端AB=“00”时,输出端Y1=1,当输入端AB=“10”时,输出端Y2=1,输入端AB=“01”时,输出端Y3=1,输入端AB=“11”时,输出端Y4=1。可见,这是一个2线-4线译码器,它的功能是将2位二进制码译码后,从4个输出端中所对应的哪一个输出端输出。
2、运用逻辑函数真值表进行分析
运用逻辑函数真值表进行分析的方法,是列出所有输入端与所有输出端之间的逻辑函数真值表,然后根据真值表判断出电路的逻辑功能。
某组合逻辑电路如下图所示,它包含3个逻辑门电路D1,D2,D3,具有3个输入端A,B,C和1个输出端Y。3个输入端共有8种组合状态,逐一分析如下:

当ABC=”000”时,D1输出为“0”,D2输出为“1”,Y=0;当ABC=“001”时,D1输出为“1”,D2输出为“1”,Y=1;当ABC=“010”时,D1输出为“1”,D2输出为“1”,Y=1;......当ABC=“111”时,D1输出为“1”,D2输出为“0”,Y=0;根据以上分析结果得到的逻辑函数真值表如下图所示。

从逻辑函数真值表可见,只有当ABC=”000”或者ABC=”111”时,才有Y=0,否则Y=1,所以,这是一个逻辑不一致电路,当三个输入端的输入逻辑状态不一致时,电路输出为1,当3个输入端的逻辑状态一致时,电路输出为0。
全站搜索