共基极的放大电路,如图1所示,
图1 共基极放大电路
主要应用在高频放大或振荡电路,其低输入阻抗及高输出阻抗的特性也可作阻抗匹配用。电路特性归纳如下:
输入端(EB之间)为正向偏压,因此输入阻抗低(约20~200 )
输出端(CB之间)为反向偏压,因此输出阻抗高(约100k~1M )。

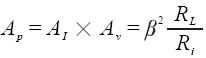
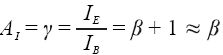
电流增益:
虽然AI小于1,但是RL / Ri很大,因此电压增益相当高。
功率增益:

由于AI小于1,所以功率增益不大。
共发射极放大电路
共发射极的放大电路,如图2所示。
图2 共发射极放大电路
因具有电流与电压放大增益,所以广泛应用在放大器电路。其电路特性归纳如下:
输入与输出阻抗中等(Ri约1k~5k ;RO约50k)。
电流增益:

电压增益:

负号表示输出信号与输入信号反相(相位差180°)。
功率增益:

功率增益在三种接法中最大。
共集电极放大电路
共集电极放大电路,如图3所示,
图3 共集电极放大电路
高输入阻抗及低输出阻抗的特性可作阻抗匹配用,以改善电压信号的负载效应。其电路特性归纳如下:
输入阻抗高(Ri约20 k );输出阻抗低(RO约20 )。
电流增益:

电压增益:

电压增益等于1,表示射极的输出信号追随着基极的输入信号,所以共集极放大器又称为射极随耦器(emitter follower)。功率增益Ap = AI × Av≈β ,功率增益低。
三极管三种放大电路特性比较
| 晶体管接法 | 电流增益 | 电压增益 | 输入阻抗 | 输出阻抗 | 应用电路 |
| 共发射极 | β》1 | Aν>1 反相放大 | 中 | 中高 | 信号放大器 |
| 共基极 | α≤1 最小 | Aν>1 最大 | 最低 | 最高 | 高频电路 高频响应好 |
| 共集电极 | γ>1 最大 | Aν≤1 最小 | 最高 | 最低 | 阻抗匹配 射极跟随器 |