你的位置: 首页 > 电工知识 > 电磁学

电位的计算

2016-10-20 17:05:51 | 人围观 | 评论:

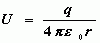
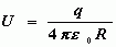
1、点电荷电场的电位分布
    点电荷产生的场强为

    根据电位的定义,电场中任一点P 的电位为


所以

    若q为正电荷,电位处处为正 ,距q 越近处电位U 越大;若q为负电荷,电位处处为负,距q 越近处电位U 越小。

2、均匀带电球面内、外的电位分布

    均匀带电球面内、外的场强分布为

        
    根据电位的定义,球面外一点P 的电位为

所以
    

    球面内一点的电位为

所以





标签:

相关内容推荐: