你的位置: 首页 > 电工知识 > 电磁学

带电粒子在电场中运动时的功能关系

2016-10-23 11:55:36 | 人围观 | 评论:

    若带电粒子在电场中运动时,除电场力外没有其它外力的作用,这时电场力使带电粒子加速(或减速),速度发生变化,因而动能发生变化。根据动能定理,电量为q的带电粒子,从电位为a点移到电位为b点时,电场力作功为

而电场力作功等于动能的增量,即

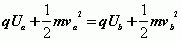
即电位能的减少量等于动能的增量。上式可改写为

    这说明,带电粒子在电场中运动时,若除电场力外没有其它外力作用,则电位能和动能之和保持不变。这是涉及电位能时能量守恒定律的一种表现形式。





标签: