各种磁介质的内部结构不完全相同, 按磁性可将介质分为三种。 我们先说明在没有外磁场作用时的情况。
1、无外磁场作用时
(1)在第一种磁介质中,每个分子的磁矩
(相当于电介质中的有极分子),但各个分子磁矩的取向杂乱无章,沿各个方向都不占优势,因而所有分子磁矩的矢量和![]()
结论:无外磁场时这种磁介质在宏观上不显磁性。
(2)在第二种磁介质中,每个分子里电子磁矩之和为零,即
(相当于电介质中的无极分子)因此所有分子磁矩的总和为![]()
结论:无外磁场时这种磁介质在宏观上不显磁性。
(3)在第三种磁介质中,原子间的相互作用特别强,在这种情况下,介质内部形成一个个微小的区域,如图7-2所示。在每个小区域中,原子磁矩的排列整齐,取向相同,因而具有很强的磁性,在图中用一个箭头符号表示。这样的小区域称为磁畴。由于介质中有大量的磁畴,在没有外磁场时,这些磁畴磁矩的取向是杂乱无章的,因此
磁畴![]()
所以这种磁介质在无外磁场时宏观上不显磁性。
实际上,磁畴的形状并不象示意图那样简单,其几何线度也随材料不同而异。磁畴可以在实验室中观察到,其线度从微米
数量级到毫米
数量级范围内。
2、有外磁场
作用时
当存在磁场
时,在每个电子磁矩
上要增加一个附加磁矩。我们取电子的轨道平面与外磁场的磁感应强度
互相垂直的特殊情况进行讨论。如图7-3所示,电子自身的磁矩
与平行反向。中外磁场由0增加到
的过程中,在空间要激发感生磁场,
与
反向,使电子在轨道上某点受到的感生电场力与电子在该点处的速度同向,因此电子被加速,其速度
从增大到
,角速度也相应地从
增大到
。在电子运动轨道不变的情况下,电子运动速度增大相当于电流环流增强,因而电子磁矩也要增大即由
增加到
。下面,对附加磁矩
与磁场
的关系作定量的分析。
在没有外磁场时,电子眼圆形轨道运动的线速度的大小为
,设轨道半径为
,则![]()
使电子作圆周运动的法向力是原子核对电子的吸引力,即
式中m为电子的质量。当外磁场的磁感应强度为
时,运动电子受到的洛仑兹力为 ![]()
按右手螺旋关系,
与
同向。这时电子运动的角速度变为
。假设轨道的半径
不变,则
(7-4)
将式(7-4)展开后减去式(7-3),得![]()
当
不太大时
,
上式两边的第二项均可忽略,即可解得
(7-5)
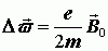
当外磁场的磁感应强度为
时,电子运动的角速度增加了
,电子磁矩也有相应的增量
,按式(7-1),得![]()
上式减去式(7-1)得![]()
将式(7-5)代入,得
(7-6)
或 ![]()
我们将这种磁介质称为顺磁质。实际上,由于分子的热运动,分子磁矩的取向总不可能完全一致。一定的温度下,
的取向按一定的统计规律分布。外磁场越强,温度越低,
的取向越整齐,磁性越强。撤去外磁场后磁性又消失。氧(
)、氧化氮(
)及顺磁性盐(某些碱性元素、碱土元素及稀土元素的盐)都是顺磁质。
(2)第二种磁介质,无外磁场时分子磁矩
;在有外磁场时,其分子磁矩仍为零,而附加分子磁矩
与
反向,因此总磁矩仍不为零,而附加分子磁矩
与
反向, 因此总磁矩也不为零,而且与
反向。这种磁介质在宏观上显示的附加磁场减弱了外磁场的作用,即
而 ![]()
我们将这种磁介质称为抗磁质。附加磁矩抗磁质产生磁化的唯一原因。磁化的强弱不随温度而变,撤去外磁场则磁化立即消失。碱金属盐类及卤素等都是抗磁质。
(3)第三种磁介质,在无外磁场时所有磁畴磁矩的矢量和为零;在有外磁场时,每个磁畴的磁矩都沿
的方向规则地排列,从而在空间上显示出很强的附加磁场。这个附加磁场显著地增强了介质所在空间的磁场,不仅有![]()
及![]()
而且,既使外磁场很弱(
),介质的磁化也很强。我们将这种磁介质称为铁磁质。铁(
)镍(Ni) 钴(
)三种元素, 以及这三种和其他元素的多种合金都是铁磁质。
全站搜索