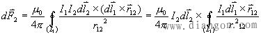
归纳起来则有: 或  即: , , 此式即为安培定律的完整表达式。
三、磁感(应)强度
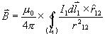
1.磁场:电流或运动电荷之间相互作用的磁力是通过磁场而作用的。故磁力称为磁场力。 2.磁感(应)强度: 根据安培定律: 整个回路L1对电流元I2dl2的作用力: 又: 所以: 也可写成: ,θ为B矢量与I2dl2之间的夹角。B叫做磁感应强度矢量,上式是它的定义式。单位为牛顿/安培・米或特斯拉,用T表示。1特斯拉=1牛顿/安培・米=10000高斯。任何闭合回路产生的磁感应强度B都可看成是各个电流元I1dl1产生的元磁感应强度dB的矢量叠加。
或 ,称为毕奥-萨伐尔定律。 |