你的位置: 首页 > 电工知识 > 电磁学

闭合回路的电流强度和输出功率

2016-11-05 20:56:26 | 人围观 | 评论:





标签:

相关内容推荐:

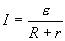
如图中的闭合回路,它属于放电情形。该回路里电源的路端电压U同时也是外电阻R两端的电压,故根据欧姆定律U=IR,代入(1)式可得:   (3) , 利用这公式可将回路中的电流I求出来。
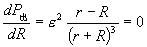
当外电路短路时R→0,U→0, 。一般电源内阻很小,因此短路时电流I很大,而且电源提供的全部功率消耗在内阻上,产生大量的热,可能把电源烧坏。当外电路R很大时,I很小,内阻电位降也小,U≈ε。断路时,R→∞,I→0,则严格地等于ε。电源向负载提供的输出功率为:   (4)
对(4)式求导并令它等于0可得:
由此得:达到极值的条件为R=r。(5)式叫做负载电阻与电源的匹配条件。