2017-03-09 16:17:50 | 人围观 | 评论:
单相异步电动机定子两相绕组是主绕组m及副绕组a,它们一般是在空间上相差90°电角度的两个分布绕组,通电时产生空间正弦分布的空间磁通势。首先分析只有一相绕组通电时的机械特性。
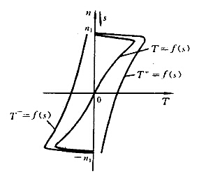
从交流电机绕组产生磁通势的原理知道,若单相异步电动机只有主绕组m通入单相交流电流时,产生空间正弦分布的脉振磁通势F。一个脉振磁通势可以看成为转速相同、转向相反的两个旋转磁通势合成的,一个是正转磁通势F+,一个是反转磁通势F-,F+=F-。单相异步电动机转子在脉振磁通势作用下受到的电磁转矩,就等于在正转磁通势F+和反转磁通势F-两者分别作用下受到的电磁转矩的合成。
在三相异步电动机原理分析中,我们对旋转磁通势及其产生的电磁转矩已经很熟悉了。那么单相异步电机中,笼型转子在正转磁通势或反转磁通势分别作用下受的电磁转矩T+或T-,与笼型转子在三相异步电动机正向旋转磁通势(电源相序为正)或反向旋转磁通势(电源相序为负)分别作用下受的电磁转矩是完全一样的,T +=f(s)与T-=f(s)两条转矩特性如图1所示。单相异步电动机转子在脉振磁通势作用下的转矩为T=T++T-,T=f(s)为主绕组通电时的机械特性曲线,为T +=f(s)与T-=f(s)两条曲线的合成.见图1。其机械特性T=f(s)具有下列持点:
(1)当转速n=0时,电磁转矩T=0,即无起动转矩,电机不能够起动。
(2)当转速n>0时,转矩T>0,机械持性在第Ⅰ象限,电磁转矩是拖动性质的转。如果由于其他原因使电机正转后,电磁转矩使电动机继续正转运行。当转速n<0,T<0,机械待性在第Ⅲ象限,⒖仍是拖动性质的,如果电机反转了,仍能继续反转运行。
(3)理想空载转速n0<n,单相异步电动机额定转差率比三相异步电动机略大一些。
综上所述,单相异步电动机定子上如果只有主绕组,则无起动转矩,可以运行但不能起动,因此,要使单相异步电动机正常工作必须有两相绕组才行。

图1 主绕组通电时的机械特性曲线
全站搜索