这里分析几种电荷分布产生的的电势公式
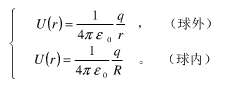
1、均匀分布的球面电荷(球面半径为R。带电量为q)
电势分布公式为:
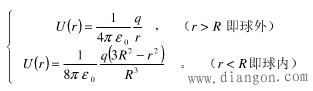
2、均匀分布的球体电荷(球体的半径为R,带电量为q)
电势分布公式为:
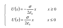
3、均匀分布的无限大平面电荷(电荷面密度为sigma)
电势分布公式为:![]()
其中假设r0处为零电势参考点。若选取原点为零电势参考点。即U0=0,那么其余处的电势公式为:
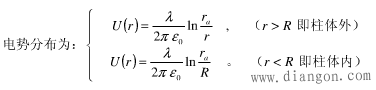
4、均匀分布的无限长圆柱柱面电荷
电势分布公式为:
电势公式的推导
电荷周围产生的静电场的电势差与电势的公式与推导:
一场源点荷为Q,在距Q为r的A点有一点电荷为q,求证:此A处电势φ=kQ/r
证明:设无穷远处电势为0,则在电场力的作用下,q从r处运动到无穷远,电场力做功为qU.
将A到无穷远这段距离无限等分最远处距离为r0,A 处为rn,(0,1,2,……n为下标)
①式子:kQq*(r(n-1)-rn)/rn^2+kQq*(r(n-2)-r(n-1))/r(n-1)^2+……+kQq*(r2-r3)/r3^2+kQq*(r1-r2)/r2^2+kQq*(r0-r1)/r1^2=qU
②式子:kQq*(r(n-1)-rn)/(rn*r(n-1))+kQq*(r(n-2)-r(n-1))/(r(n-1)*r(n-2))+……+kQq*(r2-r3)/(r3*r2)+kQq(r1-r2)/(r2*r1)+kQq*(r0-r1)/(r1*r0)=qU
因此,kQ/rn-kQ/r(n-1)+kQ/r(n-1)-kQ/r(n-2)+……+kQ/r3-kQ/r2+kQ/r2-kQ/r1+kQ/r1-kQ/r0=U kQ/rn-kQ/r0=U kQ/rn-0=φ-0 φ=kQ/rn,即φ=kQ/r
图1 电势公式的推导
电势能的公式
Ep=WAO=q・φA.(Ep表示电势能):
当φA>0时,q>0,则εp>0,q<0,则εp<0;
当φA<0时,q>0,则εp<0,q<0,则εp>0.
全站搜索