你的位置: 首页 > 电工知识 > 电工公式

电阻的计算公式

2017-03-28 13:28:11 | 人围观 | 评论:

    在导体内电荷运动过程中受到的阻力,称为导体的电阻。计量单位为欧姆,用符号Ω表示。

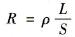
   电阻的计算公式

式中R-导体的电阻值(Ω)

    ρ-导体的电阻率(μΩ・m);

    S-导体的横截面积(mm²)

    L-导体的长度(m)





标签:

相关内容推荐: