在变电站一次主接线为双母线、桥形接线、单母分段等含有母联或者分段断路器的接线方式下,两段母线的电压互感器二次电压可以装设并列装置,以使微机保护装置在本段母线电压互感器退出运行时,一次可以通过改单母运行来保证电压互感器停运母线的设备继续运行,这时需要将二次回路进行并列(通过并列继电器的辅助触点将两组电压互感器的电压小母线连接起来),使电压互感器停运母线的设备可以从另一段母线的电压互感器二次绕组获碍电压,以确保相应的保护、计量设备继续运行。<?XML:NAMESPACE PREFIX = O />
二次电压回路并列的条件是一次母联或者分段断路器在合闸位置,并且两侧的隔离开关也在合闸位置。也即是只有在一次并列的情况下,才允许将电压互感器二次并列,严禁一次未并列的情况下将二次并列。
考虑到操作的安全性,有些变电站在设计中已经取消了并列装置,这样停一台电压互感器时需要连带停相应的母线。值得注意的是,即便没有并列装置,电压互感器的二次回路仍有并列的机会。当一个断路器对应的两个母线隔离开关同时合上时,通过两个母线隔离开关的辅助触点仍能将两个电压互感器的电压小母线并列。这也是为什么在倒母线的过程中,当一个断路器对应的两个母线隔离开关同时合上时会发出“电压互感器并列”信号。
下面以一个典型的倒母线操作为例,来分析这个过程中的电压互感器并列。倒母线的基本操作顺序是:①投入母差互联;②拉开母联控制电源开关,检查母联断路器应合上;③倒母线;④合上母联控制电源开关;⑤退出母差互联;⑥拉开电压互感器二次;⑦拉开母联断路器、隔离开关;⑧拉开电压互感器一次隔离开关;⑨合母线接地开关。因为倒母线的过程中是“先合后拉”,当同一出线的两条母线隔离开关都合上时,电压二次并列。因为二次并列时要求一次必须是并列的,所以在倒母线之前必须检查母联断路器应合上,同时还要将母联断路器的控制电源拉开,防止在倒母线过程中出现母联断路器跳开的情况。
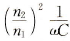
下面分析在倒母线的过程中,电压互感器二次并联时母联断路器跳开,将会发生的情况。如图所示是电压互感器二次并列的等效电路图,图中只取三相中的一相作为示例。U1与U2分别为两条母线A相对地电压;电容C为两条母线对地电容;224-9、225-9分别为两条母线电压互感器一次隔离开关;XDL1、XDL2分别为两台电压互感器二次空气小开关;IZJ、2ZJ分别为电压切换继电器二次触点;电压表PV代表了二次负荷。如果母联断路器跳开后,5母失去电压,则U2相当于断开.但是此时5母电压却不为零,因为4母电压仍然可以通过电压互感器二次传递过来。这时5母对地电容中仍然流过对地电容电流,但是对于电压互感器有
,所以在电压互感器二次将产生较大的电流,二次空气开关将跳闸,使两条母线的所有保护失去电压量,可能会引起保护误动。这个问题也可以从另一个角度来考虑,5母电压互感器一次的负荷为对地电容,其折算到二次侧的等效阻抗为
,这是一个很小的电抗值,相当于将电压互感器二次短路,这也是绝对不允许的。

图 电压互感器二次并列等效电路图
再回到倒母线这个示例中来,倒母线结束后,按照规定应该是先拉开电压互感器二次开关后才能拉开母联断路器,也是由于同样的原因。只有在确保电压互感器二次回路断开的情况下,才允许拉开母联断路器断开一条母线电源,防止二次给一次反送电。
