你的位置: 首页 > 电工知识 > 互感器

电流互感器误差

2017-03-28 13:24:47 | 人围观 | 评论:

电流互感器主要由一次绕组、二次绕组及铁芯组成。当一次绕组中流过电流I1时,在一次绕组上就会存在一次磁动势I1 N1。根据电磁感应和磁动势平衡原理,在二次绕组中就会产生感应电流I2,并以二次磁动势I2N2去抵消一次磁动势I1N1。
在理想情况下,存在磁动势平衡方程式I1N1+I2N2=0。此时,电流互感器不存在误差,称为理想互感器。根据上式可推算出电流比与匝数成反比,以上,就是电流互感器的基本工作原理。
在实际中,要使电磁感应这一能量转换形式持续存在,就必须持续供给铁芯一个激磁磁动势I0Nl,方程式变为I1Nl+I2N2=I0Nl。
可见,激磁磁动势的存在,是电流互感器产生误差的主要原因。

    虽然实际电流互感器的二次电流与一次电流基本成正比,但由于电流互感器本身的励磁损耗和磁路饱和等因素的影响,测量所得的二次电流2与一次电流1在数值和相位上都存在着一定的差异,这就是电流互感器的误差。

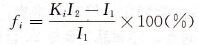
    1.电流误差

    电流互感器在测量电流时所产生的数值误差称为电流误差,它取二次电流测量值与额定电流比相乘所得的乘积与实际一次电流之差,并用后者的百分数表示,即

    (1)

    Ki的关系式代入后,得

    (2)

    I2N2大于I1N1时,电流误差为正,反之为负。

    2.相位差

    旋转了180°的二次电流相量-2和一次电流相量1间的夹角称为电流互感器的相位差δi,当-2超前于1时,相位差δi为正值,反之为负值,通常以()分表示。

    3.复合误差

    电流互感器在额定电流附近工作时,一次及二次电流都非常接近正弦波,电流互感器的误差是额定频率和正弦波下的误差。但对于保护用电流互感器来说,当系统发生短路后,由于短路电流很大,铁芯趋向饱和,励磁电流和二次电流的波形都不再是正弦波,而含有一系列的高次谐波,这时就不能用电流误差和相位差来描述了,而要引入复合误差这个概念。复合误差εc是指在稳态情况下,折算到一次侧的二次电流瞬时值与一次电流瞬时值之差的有效值与一次电流有效值之比,以百分值表示,即

    (3)

式中:I1为一次电流的有效值;i1i2分别为一、二次电流的瞬时值;T为一个周波的时间。

    复合误差这样定义既适合于正弦电流,也适合于非正弦电流,主要用于衡量保护用电流互感器(P)的准确限值特性。

    为减小电流互感器的误差,常采取各种补偿措施,如整数匝补偿、分数匝补偿、磁分路补偿等。





标签: