2017-03-09 17:30:24 | 人围观 | 评论:
用对称分量法分析同步发电机不对称短路是很方便的。不对称短路是不对称运行的特殊情况。电力系统遇到的故障短路通常是不对称短路,例如线对线短路或线对中点短路。
故障短路将会出现很大的冲击电流,不过冲击电流的持续时间是很短暂的,这一过程属于瞬变过程。瞬变过程完毕后就进入稳态短路。本节只讨论稳态不对称短路问题。
同步电机不对称短路的情况有多种。本节以两个典型的例子说明分析该类问题的方法。在下面所举的例子中假设短路发生在发电机机端,而且短路前发电机为空载运行。

一、单线对中点短路
设A相对中点短路。其端点方程式为:
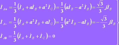
对A相实施对对称分量法得:

根据各相的电流,求出各相序的电压为

由于A相对中点短路,故有

即
由于负序电抗和零序电抗比正序电抗小得多,故单相短路电流比三相稳态短路电流大,其比值接近3 。
二、两相线对线短路

如图19.5所示,设A、B两相短路,其端点方程为

对A相实施对称分量法得
由于UA+=UA-故

两相线对线短路电流大约为三相短路电流的1.5倍。
全站搜索