你的位置: 首页 > 机械维修 > 机电一体化
机电一体化

几种易于在工程中使用的算法入门

几种易于在工程中使用的算法入门

发布时间:2022-03-27 | 评论:0 | 浏览:165 | 作者:admin

机电一体化

工控机接地方法图解

工控机接地方法图解

发布时间:2021-01-02 | 评论:0 | 浏览:185 | 作者:admin

机电一体化

如何学好PLC和工业机器人技术? 谈谈学习工控技术应有的心态和方法

如何学好PLC和工业机器人技术? 谈谈学习工控技术应有的心态和方法

发布时间:2021-01-02 | 评论:0 | 浏览:123 | 作者:admin

机电一体化

六轴工业机器人的关节

六轴工业机器人的关节

发布时间:2021-01-02 | 评论:0 | 浏览:115 | 作者:admin

机电一体化

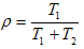
什么是时间比例控制

什么是时间比例控制

发布时间:2021-01-02 | 评论:0 | 浏览:107 | 作者:admin

机电一体化

维修电工机电设备安装电气施工关键工序的管理对策

维修电工机电设备安装电气施工关键工序的管理对策

发布时间:2021-01-02 | 评论:0 | 浏览:112 | 作者:admin

机电一体化

机电设备常见故障维修和保养

机电设备常见故障维修和保养

发布时间:2021-01-02 | 评论:0 | 浏览:110 | 作者:admin

机电一体化

怎么学习工业机器人编程

怎么学习工业机器人编程

发布时间:2021-01-02 | 评论:0 | 浏览:125 | 作者:admin

机电一体化

积分时间、积分增益和积分速度的区别

积分时间、积分增益和积分速度的区别

发布时间:2021-01-02 | 评论:0 | 浏览:115 | 作者:admin

机电一体化

阀门电动装置控制箱电气原理图内部检查及检修

阀门电动装置控制箱电气原理图内部检查及检修

发布时间:2021-01-02 | 评论:0 | 浏览:103 | 作者:admin

机电一体化

工控机数字量I/O板卡的主要技术指标

工控机数字量I/O板卡的主要技术指标

发布时间:2021-01-02 | 评论:0 | 浏览:96 | 作者:admin

机电一体化

机电设备安装过程中常见问题和解决措施

机电设备安装过程中常见问题和解决措施

发布时间:2021-01-02 | 评论:0 | 浏览:100 | 作者:admin

机电一体化

自动控制原理之开环控制和闭环控制系统图解

自动控制原理之开环控制和闭环控制系统图解

发布时间:2021-01-02 | 评论:0 | 浏览:3182 | 作者:admin

机电一体化

什么是I/O点?什么是模拟量和开关量?

什么是I/O点?什么是模拟量和开关量?

发布时间:2021-01-02 | 评论:0 | 浏览:130 | 作者:admin

机电一体化

工业机器人日常维护保养

工业机器人日常维护保养

发布时间:2021-01-02 | 评论:0 | 浏览:146 | 作者:admin

机电一体化

自动化设备维修的心得体会

自动化设备维修的心得体会

发布时间:2021-01-02 | 评论:0 | 浏览:118 | 作者:admin

机电一体化

自动控制系统组成

自动控制系统组成

发布时间:2021-01-02 | 评论:0 | 浏览:105 | 作者:admin

机电一体化

PID入门:新手快速熟悉pid调节器相关概念

PID入门:新手快速熟悉pid调节器相关概念

发布时间:2021-01-02 | 评论:0 | 浏览:94 | 作者:admin

机电一体化

机电一体化设备的故障诊断技术

机电一体化设备的故障诊断技术

发布时间:2018-12-13 | 评论:0 | 浏览:145 | 作者:admin

机电一体化

工控机接地方法图解

工控机接地方法图解

发布时间:2018-09-08 | 评论:0 | 浏览:644 | 作者:admin

机电一体化

矿井大型机电设备维护管理

矿井大型机电设备维护管理

发布时间:2018-09-08 | 评论:0 | 浏览:111 | 作者:admin

机电一体化

六轴工业机器人的关节

六轴工业机器人的关节

发布时间:2018-09-08 | 评论:0 | 浏览:159 | 作者:admin

机电一体化

如何学好PLC和工业机器人技术? 谈谈学习工控技术应有的心态和方法

如何学好PLC和工业机器人技术? 谈谈学习工控技术应有的心态和方法

发布时间:2018-09-08 | 评论:0 | 浏览:105 | 作者:admin

机电一体化

机电设备常见故障维修和保养

机电设备常见故障维修和保养

发布时间:2018-09-08 | 评论:0 | 浏览:167 | 作者:admin

机电一体化

怎么学习工业机器人编程

怎么学习工业机器人编程

发布时间:2018-09-08 | 评论:0 | 浏览:112 | 作者:admin

 330    1 2 3 4 5 6 7 8 9 10 下一页 尾页