你的位置: 首页 > 家电弱电 > 电子技术
电子技术

交通灯控制电路设计案例

交通灯控制电路设计案例

发布时间:2016-10-23 | 评论:0 | 浏览:135 | 作者:admin

电子技术

共发射极放大电路的组成

共发射极放大电路的组成

发布时间:2016-10-23 | 评论:0 | 浏览:136 | 作者:admin

电子技术

共集电极放大电路

共集电极放大电路

发布时间:2016-10-23 | 评论:0 | 浏览:148 | 作者:admin

电子技术

放大电路的动态分析

放大电路的动态分析

发布时间:2016-10-23 | 评论:0 | 浏览:146 | 作者:admin

电子技术

差动放大电路的组成

差动放大电路的组成

发布时间:2016-10-23 | 评论:0 | 浏览:162 | 作者:admin

电子技术

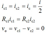
差动放大电路的工作原理

差动放大电路的工作原理

发布时间:2016-10-23 | 评论:0 | 浏览:118 | 作者:admin

电子技术

互补对称功率放大电路

互补对称功率放大电路

发布时间:2016-10-23 | 评论:0 | 浏览:151 | 作者:admin

电子技术

集成运算放大器的组成结构

集成运算放大器的组成结构

发布时间:2016-10-23 | 评论:0 | 浏览:150 | 作者:admin

电子技术

电子设计竞赛经验

电子设计竞赛经验

发布时间:2016-10-21 | 评论:0 | 浏览:115 | 作者:admin

电子技术

如何区分模拟带宽和数字实时带宽?

如何区分模拟带宽和数字实时带宽?

发布时间:2016-10-21 | 评论:0 | 浏览:126 | 作者:admin

电子技术

FPGA与CPLD的区别

FPGA与CPLD的区别

发布时间:2016-10-21 | 评论:0 | 浏览:113 | 作者:admin

电子技术

数字电路的应用

数字电路的应用

发布时间:2016-10-21 | 评论:0 | 浏览:111 | 作者:admin

电子技术

数字信号和数字电路

数字信号和数字电路

发布时间:2016-10-21 | 评论:0 | 浏览:149 | 作者:admin

电子技术

脉冲和脉冲电路

脉冲和脉冲电路

发布时间:2016-10-21 | 评论:0 | 浏览:161 | 作者:admin

电子技术

电力电子器件的串联和并联使用

电力电子器件的串联和并联使用

发布时间:2016-10-21 | 评论:0 | 浏览:235 | 作者:admin

电子技术

单相半波可控整流电路

单相半波可控整流电路

发布时间:2016-10-21 | 评论:0 | 浏览:727 | 作者:admin

电子技术

用电桥测量电阻、电容与电感

用电桥测量电阻、电容与电感

发布时间:2016-10-21 | 评论:0 | 浏览:1010 | 作者:admin

 742   首页 上一页 28 29 30