你的位置: 首页 > 机械维修 > 机械制造

工艺系统原始误差对加工精度的影响

2016-10-25 13:29:07 | 人围观 | 评论:

  1、加工原理误差
  加工原理误差是指采用了近似的成型运动或近似的刀刃轮廓进行加工而产生的误差,一般多为形状误差。如:用阿基米德蜗杆滚刀切削渐开线齿轮;在数控机床上用直线插补或圆弧插补方法加工复杂曲面;在普通公制丝杠的车床上加工英制螺纹等,都会由于加工原理误差造成零件的加工表面形状误差。
  在实际生产中,采用理论上完全准确的方法进行加工往往会使机床的结构复杂,刀具的制造困难,加工的效率降低。而采用近似加工方法,则常常可使工艺装备简单化,生产成本降低,故在满足产品精度要求的前提下,原理误差的存在是允许的。
  2、调整误差
  生产中常采用的刀具调整方法主要有:按标准样块或对刀块(导套)调整刀具及按试切一个工件后的实测尺寸调整刀具。
  按标准样块或对刀块(导套)调整刀具时,影响刀具调整精度的主要因素有标准样件本身的尺寸误差,刀块(导套)相对工件定位元件之间的位置尺寸误差,刀具调整时的目测误差,切削加工时刀具相对于工件加工表面的弹性退让和行程挡块的受力变形等。
  按试切一个工件后的实测尺寸调整刀具时,虽可避免上述一些因素的影响,但对于一批零件,可能导致由于进给机构的重复定位误差和按试切一个工件尺寸调整刀具的不准确性,引起加工后这一批零件尺寸分散和分布中心位置的偏离。
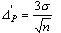
  为进一步提高对一批工件尺寸分布中心位置判断的准确性,可采用多试切几个工件(如n个)取平均值的方法。按多次重复测量原理,由于判断不准而引起的刀具调整误差,试切1个时,△p=3σ(σ为加工误差的标准差);试切n个时,可下降到
  此外,机床微量进给误差(爬行)也是影响调整精度的重要因素。

  3、机床误差
  在工艺系统中,机床是为切削加工提供运动和动力的,机床原有误差对加工精度的影响最为显著,也最为复杂,其内容将在4.3节介绍。
  4、刀具误差
  采用定尺寸刀具(如钻头、铰刀、键槽铣刀、圆孔拉刀等)时,刀具的尺寸直接影响工件的尺寸精度。采用展成刀具(如齿轮滚刀、插齿刀等)加工时,刀具切削刃的几何形状及有关尺寸误差也会影响工件的加工精度。若采用成形刀具(如成形车刀、成形铣刀、成形砂轮等)进行加工,成形刀具在制造和刃磨后形状不准确,将直接反映到加工表面形状上。成形刀具的安装误差,也会影响加工表面的形状精度。如用成形车刀精车丝杠时,若车刀前刀面安装得偏高、偏低或倾斜时,会造成螺旋面的形状误差。

  5、量具误差与测量误差
  计量器具误差主要是由示值误差、示值稳定性、回程误差和灵敏度等四个方面综合起来的极限误差。计量器具误差会对被测零件测量精度产生直接的影响。
  除量具本身误差之外,测量者的视力、判断能力、测量经验、相对测量或间接测量中所用的对比标准、数学运算精确度、单次测量判断的不准确等因素都会引起测量误差。





标签:

相关内容推荐: