电接口的指标应符合ITU-T的有关建议要求.图5-13中的A,B点为电接口.通常把A点称为输人口,B点称为输出口.在输人口和输出口都需要测试的指标有:比特率及容差、反射损耗,将此称为一般指标.专门在输人口测试的指标有输人口允许衰减和抗干扰能力、输入抖动容限;专门在输出口测试的指标有输出口脉冲波形、无输入抖动时的输出抖动容限. 1.一般指标与测试 (1)比特率及容差 ①比特率及容差的含义 比特率是指在单位时间内(通常为Is)传送的比特数,由于信号衰减、抖动及其他影响,实际传送数字信号的比特率与标称比特率之间会有些差别.当差别在一定范围内变化时,光端机仍能正确接收传输信号而不产生误码,这种差别的允许范围即为容差.表5-1给出了数字信号标称比特率及容差。 |
| 表 5-1 各级电接口标称比特率及容差 |
 |
光端机的输入口和输出口均应满足表5-1的要求。对输入口而言,在光端机接收容差范围内的任何比特率信号时,输入口的参数即允许衰减、允许抖动容限等参数都能满足各自的指标要求。对输出口而言,无论光端机上游是什么设备,从光端机输出口输出的信号比特率应在容差范围内。容差常用“ppm”表示,即10-6。例如,当系统码速为2048kbit/s,容差为50ppm,即表示实际允许码速的偏差为 ±(2048×103×50×10-6)=±102 bit/s ②测试方法 先以输人口比特率及容差的测试为例,测试方框图如图5-16所示,测试时,需测出输入口所能承受的比特率的正偏和反偏的极限.具体测试步骤如下: a.按图5-16所示连接电路,其中光可变衰减器用以代替长光纤。 b.码型发生器发出规定标称比特率的测试信号。 c.调高码型发生器的比特率,直到在误码检测器上出现误码,此时的比特率为b1。 d.调低码型发生器的比特率,直到在误码检测器上出现误码,此时的比特率为b2。 e.b1,b2分别与标称比特率之间的差值就是正、负方向的容差。 |
 |
| 图5 - 16输人口比特率及容差测试方框图 |
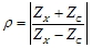
测试输出口比特率及容差时,需先测得输出口的比特率,这就要在图5-16中的输出口处接一个数字测试仪及数字式频率计.数字式频率计从接收信号中提取时钟'由频率计根据提取的时钟给出信号的比特率.它与标称比特率之间的差值应在表5-1所示的容差范围内。 (2)反射损耗 ①反射损耗的含义 当传输电缆与光端机相连时,若连接点处阻抗不匹配,就会产生反射损耗.即当传输电缆的特性阻抗Zc与光端机接口处的阻抗ZX不相等时,就会在光端机接口处产生反射.反射信号与入射信号叠加,使光端机接口处的信号失真,以致造成误码.这里用bp来表示反射损耗,它的定义式为 |
 |
| 其中 |
 |
| 一般ZC=75 Q.由上式可知,当ZX=ZC时,ρ=O,表示没有反射信号;当ZX≠ZC时,则将引起反射.若反射功率为Pr(μW),入射功率为P0(μW),则式(5-23)也可写为 |
 |
对于实际的光端机,电接口不可能完全阻抗匹配,为了保证系统正常工作’反射衰减应达到规定值.表5-2给出了一、二、三次群电接口对输入口提出的反射损耗,四次群电接口对输入和输出口提出的反射损耗的要求。 ②测试方法 光端机输人口与输出口反射损耗的测试方法相同.现以输人口为例测试反射损耗.它的测试方框图如图5-17所示.具体测试步骤如下: a.按图5-17所示连接电路,其中,振荡器发出测试所需的电信号,75 Ω反射电桥提供标准75 Ω阻抗,选频表用来测试某一频率下的电信号功率电平值. b.先断开ZX,调整振荡器输出,此时选频表的指示电平即入射功率Lo(dBm). c.将ZX接在反射电桥上,此时电平表指示电平即为反射功率Lr(dBm). d.计算反射损耗bp= Lo一Lr(dB). |
| 表 5-2 电接口反射损耗指标 |
 |
| 图5-17电接口反射损耗测试方框图 |
2.输入口指标与测试 (l)输人口允许衰减 ①输人口允许衰减的含义 信号由电端机经过一段电缆送人光端机时,电缆对信号有一定的衰减,这就要求光端机在接收这种信号时仍不会发生误码,这种光端机输人口能承受一定传输衰减的特性,用允许衰减来表示. ②测试方法 输入口允许衰减的测试方框图如图5-18所示,具体测试步骤如下: |
 |
| 图5一18输人口允许衰减测试方框图 |
a.按图5-18所示连接电路.其中,输入口连接电缆对信号的衰减符合 衰减规律.长光纤可用光可变衰减器代替。 b.误码仪发送规定测试信号。 c.使连接电缆的衰减按表5-3所要求的允许衰减范围内变化,以误码检测器检测不到误码时的衰减值为测试结果。 |
| 表5-3 输入口允许的连线衰减和抗干扰能力 |
 |
(2)输入口抗干扰能力 ①输入口抗干扰能力的含义 对光端机而言,由于数字配线架和上游设备输出口阻抗的不均匀性,会在接口处产生信号反射,反射信号对有用信号来说是个干扰信号.通常把光端机在接收被干扰的有用信号后仍不会产生误码的能力称为输入口的抗干扰能力,因此,常用有用信号功率与干扰信号功率之比表示抗干扰能力的大小。 ②测试方法 输入口抗干扰能力的测试方框图如图5-19所示,具体测试步骤如下: |
 |
| 图5一19输人口抗干扰能力测试方框图 |
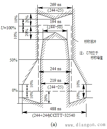
a.按图5-19所示连接电路.其中,混合网络将有用信号和干扰信号合并起来,光端机输入口处符合 衰减规律的电缆的衰减范围按表5-3选取,长光纤可用光可变衰减器代替。 b.误码仪的码型发生器发出规定的测试信号作为有用信号,干扰源发出干扰信号。 c.调节干扰支路的衰减嚣,使信号/干扰比的取值如表5-3所列,那么以误码检测器检测不到误码为测试结果。 (3)输入抖动容限 3.输出口指标与测试 (1)输出口脉冲波形 ①脉冲波形样板 为使各厂家生产的不同型号的设备能彼此相连,就要求这些设备的接口波形必须符合ITU-T提出的要求,即符合G.703建议中的脉冲波形样板,其图形如图5-20~图5-23所示。可见,接口码速不同,对脉冲波形的要求不同,每种波形的脉冲宽度及幅度、上升、下降时间、过冲程度等都有严格规定.但只要设备的接口波形在样板斜线范围内,则同一码速的不同型号的设备就能互连。 |
 |
| 图5-20 2048kbit/s接口脉冲样板 |
 |
| 图5-21 8448kbit/s接口脉冲样板 |
 |
| 图5-22 34368kbit/s接口脉冲样板 |
 |
图5-23 139264kbit/s接口脉冲样板 (a)对应于二进制“0”的脉冲样板 |
 |
图5-23 139264kbit/s接口脉冲样板 (b)对应于二进制“1”的脉冲样板 |
②测试方法 输出口脉冲波形的测试方框图如图5-24所示,具体测试步骤如下: |
 |
| 图5-24输出口样板波形测试方框图 |
a.按图5-24所示连接电路,其中示波器与光端机输出口连接时,要用75 Ω电阻匹配,带宽要足够大,尤其是当系统码速为139. 26 Mlbit/s时,还要用一个电容作交流耦合。 b.断开输入信号,此时示波器的水平扫描线作为波形样板的标称零电位。 c.再接上码型发生器,并使之产生规定的伪随机码测试信号,此时示波器的波形应满足规定的脉冲样板波形。 (2)无输入抖动时的输出抖动容限 |
-
标签: