LAN的性能指标:吞吐量、延迟。
影响局域网性能的三个因素:
硬件特性:介质的速度及网卡的处理速度。
资源分配策略:介质访问控制。
网络的负载:用户的数量及每个用户的通信量。
常见的几个名词术语
吞吐量S:信道上单位时间内成功传输信息的数量,其单位为b/s,bps或信息包/秒。
信道容量C:表示信道的最大数据率,单位是b/s。
延迟d:表示在网络中从发送第一位数据起,到最后一位数据被接收所经历的时间。
信道利用率U(又称为效率):信道上传输有效信息的时间与信道总占用时间之比,利用率U指吞吐量和容量之比。
信道通信量G:单位时间内节点发送报文的总和(包括冲突后重发和错误的),亦即负载,通常负载用信道容量的百分数表示。
一、传输延迟和数据传输率对性能的影响
局域网性能分析的两个重要因素:数据率R、两个工作站之间平均信号传输延迟d。
1. 常用R×d之积(用位计算的介质长度)作为衡量局域网性能的重要参数。
例如,信号传播速度为 2×108m/μs(约为光速的77%),500米长的以太网,在数据速率为10Mbps时,计算的介质长度为:
![]()
位长度与所传报文包长度之比为:
![]()
其中,L为报文包长度,d为介质传输延迟(最坏情况),L/R为发送一个报文包的时间,所以:

2.参数α决定了局域网络利用率的上限值。
在理想的总线网情况下:没有冲突发生,一个站发送完,另一个站接着发送,并且假定传输的全是有用数据,没有开销,网络的最大利用率U可用系统的吞吐量与系统容量来表示。

信道最大利用率U与α成反比关系:α大,U小;α小,U大。
3.对总线型局域网,α对U的影响。
前提:设相距最远的两个工作站,以基带方式传送报文包,两站轮流发送,将报文包的发送时间规整化为1。
结论:在任何情况下,一次“轮回”的总时间为1+α ,但发送信息的时间只为1,故利用率为1/l+)。
5-40
事件发生的序列可以表示如下:
对于α<1时情况有: 对于α>1时情况有:
①在t0时一个站开始发送; 则事件②在 事件③之后发生。
②在 t0+时另一个站开始接收;
③在 t0+1时发送站发送完毕;
④在t0+1+时接收站接收完毕;
⑤另一个站开始发送。
4.对环形局域网,a对利用率U的影响如右图所示,同样可以出现上述事件序列。
5.局域网的吞吐量与负载的关系曲线。
吞吐量S,为规格化值,表示实际的数据率。
信道利用率为吞吐量与信道容量之比,即实际数据率与最大数据率之比。
网络负载G,即总数据率,也是规格化的。
信道利用率的上限值为 1/(l+α) ,与所用介质的访问方法无关。
两个假定(假定每次传送都要经过最大传送延迟、假定每次只有一个报文发送)实际上并不一定存在!


6.各种开销会使利用率和吞吐量降低。
对大多数协议来说,α的影响和开销的影响两者都是独立的。
结论:为了提高利用率U和吞吐量S,应尽可能减小α。
二、吞吐量特性
假定:网络中N个站点准备好发送报文包,其它条件同前:发送时间T=1,α=d/T=d。
1.令牌环吞吐量
在环上数据传输和令牌传输交替进行,两者的和算一个周期时间。
定义如下参数:T1 ――发送一个报文包(帧)的平均时间,取规整化值,T1=1;
T2 ――传送一个令牌的平均时间;
C ――个周期的平均时间,C= T1+T2 设规整化后报文包发送时间为1 ,传播时间为a。
当α<l时,一个站从t0开始发送报文包,t0+a时开始接收,tn+l时发送完毕,接着发送令牌,而令牌到达下一站的时间为a/N,故一个周期为 1+ a/N,所以吞吐量 :

当a>1,情况稍有不同,一个站从t0开始发送报文报,在t0+1时发送完,而开始接收的时间为t0+a ,设令牌到达下一站的时间为a/N,则一个周期的时间为C=a+a/N=a(1+1/N),这里的吞吐量为:

总之,令牌环的信道吞吐量为:

对上边两种情况,当站点无穷多时:N→∞

2.CSMA/CD总线的吞吐量
假定:
介质上的时间分成时间片,时间片的长度等于站到站传播延迟的两倍,即2a 。
介质上的时间由两类间隔组成,即传送间隔(1/2a)和争用间隔,后者或者是冲突,或者没有报文包发送。
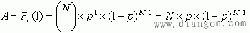
设站点数位N、每个站点在规定时间内发送概率为p 、A为在一个时间片内一个站点发送并且成功的概率。
![]()
当
时,效果最好,这时:![]()
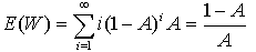
冲突后,双方后退延迟,等待一个时间片的概率为A(1-A),等待i个时间片的概率为A(1-)i。
冲突等待的平均时间为:
表示在i个时间片发生冲突或无数据发送后紧接着一个时间片发送。
![]()
在计算总线最大吞吐量时,假设一次报文发送之后,接着一个冲突平均争用时间:

当N→∞时,
![]()
所以:

3.特性比较
左下图表示令牌环和CSMA/CD两种介质访问方法下,不同站点数N时吞吐量S和α的关系。从图中可以看出,当α增加时,吞吐量降低。
右下图表示两种不同MAC,不同α值时,吞吐量S和站点的关系。该图表明不同MAC对吞吐量S和站点数N间的关系影响很大。不同的值对令牌环吞吐量影响不大,但对CSMA/CD却有很大的影响。

三、令牌环、令牌总线和CSMA/CD总线三种协议性能分析比较主要分析和比较各种协议的最大数据率。
设定条件如下:
设网络有N=100个站点;
报文到达规律有下列两种情况:
情况1:100个站点中仅有一个站点有报文要发送,且只要一个报文发送完,总是立即又有另一个报文准备好发送,即100个站点中总有一个站活跃;
情况2:全部100个站都有报文要发送,且任何一个站发送完都总有另一个站发送;
每个报文由数据位(有用位)和控制位(开销)组成,控制位包括报头(同步位和地址位等)和报尾(校验位和结束标志位等)。
设控制位为96位,数据位为500位、1000位和2000位三种。即:
L报文=L控制+L数据 L控制=96位 L数据=500、1000或3000位发送一个报文的总时间应等于发送控制位所需时间T控制和发送数据位所需的时间T数据之和:T报文=T控制+T数据分析时只考虑每种访问方法的正常操作方式,而不考虑例外情况(如令牌丢失、初始化等)。
1.令牌环
情况1:最大数据率等于报文发送时间T报文与令牌传递时间T令牌之和的倒数。 最大数据率=1/(T报文+T令牌)T令牌包括令牌通过99个空闲站点并返回发送站的传播延迟T传延和每个站接口上的一位电路延迟T接口延,即T令牌=T传延+T接口延×100,T接口延=1位×发送时间 情况2:最大数据率为报文发送时间T报文与令牌传送下一站的时间之和的倒数。 如果各站距离相等,令牌仅需传送距离的1/100,故: 最大数据率=1/[T报文+(T传延/100+T接口延)]
2.令牌总线
情况1:最大数据率=1/(T报文+T令牌)T令牌=100×(T传延+T接口延),这里T令牌为传送令牌通过100个空闲站的时间,而T传延为总线的端 端最大传播延迟(按最坏情况考虑)加上必须的处理时间,T接口延为站接口接收全部同步前序的时间(因要接收令牌也必须接收前序,设定T接口延=40μs)。
情况2:最大数据率=1/[T报文+(T传延+T接口延)] 3.CSMA/CD总线情况1:最大数据率是发送数据时间与发送控制位时间之和(T报文为每成功发送时间)加上报文间隔时间T间隔。
T间隔系电路过程和状态转换需要,设定为9.6μs。这样:
最大数据率=1/(T报文+T间隔)
情况2:要考虑处理冲突的时间,CSMA/CD总线的一个重要参数是时间槽长度T槽,等于总线上端―端往返传播延迟(2×T传延)加上电路接口转换时间T电路,即: T槽=2T传延+T电路 设按Ethernet网的值取T槽,其值为T槽=512位时间:最大数据率是报文发送时间T报文、帧间间隔时间和每个成功发送报文平均需要用在处理冲突时间之和的倒数。
最大数据率=1/[T报文+T间隔+(2e-1)(T槽+T阻塞)] T阻塞为发强化阻塞时间。由于有冲突的缘故,设2e次发送 中有一次成功。
上述分析结果示于下面两个图中:


根据上面两个图的分析,可以得如下结论:
在给定参数下,平均帧长越短,则令牌环与CSMA/CD总线之间最大平均吞吐量之差越大,这一点反映在CSMA/CD总线对的强烈依赖上;
令牌环对工作负载最不敏感;
在低负载下,CSMA/CD提供最短的延迟特性,在重负载下,它对工作负载最敏感和;
对于CSMA/CD,在速率较低时,最大平均吞吐量随着系统容量的增加而增加,但随着网络数据率的不断增加,实际数据率不再增加,这是由于CSMA/CD的冲突效应引起的,在重负载下,系统将趋于不稳定。
全站搜索