
图1 振动测量系统的一般组成框图
表1 电测法测振常用的传感器

各种测振传感器性能不一,在振动测量中,如何根据测试目的和实际条件,合理地选用测振传感器是十分重要的,选择不当往往会影响测量精度,甚至得出错误的结论。
根据线性系统的叠加原理,振动的响应是振动系统拾振部分对各个简谐振动响应的叠加。
在许多情况下,例如惯性式测振传感器,振动系统的振动是由载体的运动所引起的。如图2所示。设载体的绝对位移为Z1,检测质量块m的绝对位移Ζ0,则质量块的运动方程为
(1)

图2 由载体运动引起的振动响应
质量块m相对于载体的相对位移为
(2)
则上式可改写成
(3)
设载体的运动为谐振动,即
,则式(3)可写成
(4)
考虑这样几种情形下的响应特性:
(1)Ζ01相对于载体的振动位移为Z1,此时相当于测振仪处于位移计工作状态下。此时幅频特性和相频特性分别为
(5)
(6)
其幅频特性曲线和相频特性曲线分别如图3和4所示。

图3 由载体运动引起的位移响应

图4 相频特性曲线
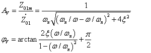
(2)Ζ01相对于载体振动速度
,此时相当于测振仪处于速度计的工作状态下。此时幅频特性和相频特性分别为
![]() | (7) |
| (8) |