依据物体光谱辐出度或辐射亮度和其温度T的关系,可以测出物体的温度。工程上,直接测定物体光谱辐出度比较困难,而测定物体的辐射亮度,则相对容易得多。故目前国内外使用的光谱辐射温度计都是根据被测物体的光谱辐射亮度来确定物体温度的。我国目前生产的光谱辐射温度计有光学高温计、光电高温计及硅辐射温度计等。
1.光学高温计
光学高温计是发展最早、应用最广的非接触式温度计。它结构较简单,使用方便,适用于1 000K~3 500 K范围的温度测量,其精度通常为1.0级和1.5级,可满足一般工业测量的精度要求。它被广泛用于高温熔体、高温窑炉的温度测量。
值得指出的是,由于各物体的光谱发射率ελ不同,即使它们的光谱辐射亮度相同,其实际温度也不会相等;光谱发射率大的物体的温度比光谱发射率小的物体的温度低。因此物体的光谱发射率和光谱辐射亮度是确定物体温度的两个决定因素,如果同时考虑这两个因素将给光学高温计的温度刻划带来很大困难。因此,现在光学高温计均是统一按绝对黑体来进行温度刻划。用光学高温计测量被测物体的温度时,读出的数值将不是该物体的实际温度,而是这个物体此时相当于绝对黑体的温度,即所谓的“亮度温度”。
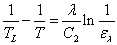
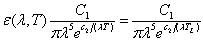
亮度温度的定义是:在波长为λ、温度为T时,某物体的辐射亮度L与温度为TL的绝对黑体的亮度L0λ相等,则称TL为这个物体在波长为λ时的亮度温度。其数学表达式为
(1)
式中,ε(λ,T)为实际物体在温度为T、波长为λ时的光谱发射率;T为实际物体的真实温度,单位为K;TL为黑体温度,也即实际物体的亮度温度,单位为K。
在常用温度和波长范围内,通常用维恩公式来近似表示光谱辐射亮度,这时上式成为
(2)
两边取对数,整理后得
(3)
亮度温度的定义,光学高温计是在波长为A的单色波长下获得的亮度。这样,物体的真实温度为
(4)
对于真实物体总是有ελ<1,故测得的亮度温度总比物体的实际温度为低,即TL<T。
目前,国内工业用光学高温计都采用红色单色光,有效波长为0.66±0.01/μm;与我国温度量值传递系统规定的基准光学高温计的有效波长一致。基准光学高温计是国际温标(ITS-90)规定温度在银点(961.78℃)以上的标准仪器。
光学高温计通常采用0.66±0.01μm的单一波长,将物体的光谱辐射亮度Lλ和标准光源的光谱辐射亮度进行比较,确定待测物体的温度。光学高温计有三种形式;灯丝隐灭式光学高温计、恒定亮度式光学高温计和光电亮度式光学高温计。
灯丝隐灭式光学高温计是由人眼对热辐射体和高温计灯泡在单一波长附近的光谱范围的辐射亮度进行判断,调节灯泡的亮度使其在背景中隐灭或消失而实现温度测量的。此种隐丝式光学高温计又称目视光学高温计或简称光学高温计,国产WGGZ型光学高温计就是此类高温计。
WGGZ型光学高温计的原理示意图如图1所示。

图1 WGGZ型光学高温计原理不意图
1-物镜;2-灰色吸收玻璃;3-灯泡;4-目镜;5-红色滤光片;6-显示表头
物镜1和目镜4可前后移动,调节物镜使物体的像落在灯泡3内的灯丝平面上,调节目镜4,使灯丝和物体的像能清晰地看到,然后边比较两者的亮度,边慢慢调节滑动电位器的触点位置,改变流过灯丝的电流,使灯泡灯丝的亮度作相应的改变。当被测物体的亮度大于灯丝亮度时,灯丝在背景(对应于被测物体亮度)上呈现暗丝(背景比灯丝亮);当被测物体的亮度小于灯丝的亮度时,则灯丝在背景中呈亮丝(背景比灯丝暗);逐渐调节滑动电位器,使灯丝亮度和背景亮度达到一致,此时,灯丝便隐没在背景中;表头6这时指示出(由滑动电位器位置所决定)被测物体的亮度温度。得到了被测物体的亮度温度,再根据该物体的光谱发射率,便可获得该物体的真实温度。
图1中的2是灰色吸收玻璃,其作用是扩大光学高温计的量程。灯丝在其亮度温度超过1 400℃时,将由于灯丝易过热发生氧化进而使灯丝的电阻发生改变,致使电流与亮度温度关系偏离原标定值;同时1 400℃以上的高温,使灯泡的金属丝要升华,将在玻璃泡上沉积形成灰暗的薄膜,改变原亮度特性而带来测量误差。因此,当测量高于1 400℃的亮度温度时,在物镜与灯泡之间安装吸收率为常量的灰色吸收玻璃,以减弱被测热源的辐射亮度。测量时,用已经减弱了的热源亮度和灯丝亮度进行比较,就可以使原最高亮度温度为1 400℃的钨丝灯,用于测量更高的温度。
光学高温计通常有两个刻度,一个是不加灰色吸收玻璃的刻度,其范围为800~1 400℃;另一个是加灰色吸收玻璃的刻度。为能测量更高的温度,有的光学高温计在物镜前再加一块吸收玻璃,以进一步减弱被测物体辐射亮度;这样可使光学高温计测量亮度温度高达3 200℃的物体温度。无论采用何种形式,光学高温计钨丝本身最高温度均不可超过1400℃。
图1中的5通常采用红色滤光片,它的作用是滤除人眼不敏感的光谱段,仅让中心光谱波长为A=0.66 ym的窄波段通过。此工作光谱段愈窄效果愈好。对于工业用光学高温计,光谱范围在0.62~0.7肚m范围所造成的误差可忽略不计。
2.光电高温计
光学高温计虽然有结构相对较简单,灵敏度高,测量范围广,使用方便等优点,但是光学高温计在测量物体的温度时,由于要靠手动调节灯丝的亮度,由眼睛判别灯丝的“隐灭”,故观察误差较大,也无法实现自动检测和记录。由于科技不断发展进步,依据光学高温计原理制造出来的光电高温计正在迅速替代光学高温计而广泛用于工业高温测量中。
光电高温计克服了光学高温计的主要缺点,它采用硅光电池作为仪表的光敏元件,代替人眼睛感受被测物体辐射亮度的变化,并将此亮度信号按比例转换成电信号,经滤波放大后送检测系统进行后续转换处理,最后显示出被测物体的亮度温度。图2是国产WDL型光电高温计的工作原理示意图。

(a)构造原理图 (b)调制器构造图
图2 光电高温计工作原理示意图
1-物镜;2-光阑;3、5-孔;4-硅光电池;6-遮光板;7-光调制器;8-永久磁钢;
9-激磁绕组;10-透镜;11-反射镜;12-观察孔;13-前置放大器;14-主放大器;
15-反馈灯;16-电位差计;17-被测物体
测量时,从被测物体17的表面发生的辐射能由物镜l聚焦后。经光阑2和遮光板6上的孔3,透过装于板6内的红色滤光片,射到硅光电池4上,反馈灯15 发出的辐射能通过遮光板上的孔5和红色滤光片也照射到硅光电池4上。在遮光板6的前面装有每秒钟振动50次的光调制器7,它交替地打开和遮住孔3和孔5,使被测物体的辐射能和反馈灯的辐射能交替地照射到硅光电池4上。当两个能量不相等时,硅光电池将产生一个与两个辐射亮度差成正比的脉冲光电流,经前置放大器l3放大后,再送由倒相器、差动相敏放大器和功率放大器组成的主放大器14作进一步放大后,输出驱动反馈灯15;反馈灯l5的辐射能随着驱动电流的改变而相应变化。以上过程一直持续到被测物体和反射灯照射到硅光电池上的辐射能相等为止。这时硅光电池4的脉冲光电流接近于零,而流经反馈灯电流数值的大小就代表了被测物体的亮度温度。此电流值转换成电压后由电位差计l6自动指示和记录被测物体的亮度温度。图2中的透镜l0、反射镜11和观察孔l2组成了一个人工观察瞄准系统,其作用是使光电高温计得以对准被测物体。
光电高温计与光学高温计相比,主要优点有:
①灵敏度高 光学高温计在金点的灵敏度最佳值为0.5℃,而光电高温计却能达到0.005℃,较光学高温计提高两个数量级;
②精确度高 采用干涉滤光片或单色仪后,使仪器的单色性能更好,因此,延伸点的不确定度明显降低,在2 000 K为0.25℃,至少比光学高温计提高一个数量级;
③使用波长范围不受限制 使用波长范围不受人眼睛光谱敏感度的限制,可见光与红外光范围均可应用,其测温下限可向低温扩展;
④光电探测器的响应时间短 光电倍增管可在10-6s内响应,响应时间很短;
⑤便于自动测量与控制 可自动记录或远距离传送。
光电高温计由于目前的硅光电池和反馈灯等光电器件的特性离散性大,故光电器件的互换性差,所以在使用、维修时若要更换硅光电池和反馈灯,就必须对整个仪表重新进行调整和标定(刻度)。工业用光电高温计精度等级仍为1.0级和l.5级两种。
3.辐射温度计
辐射温度计是根据全辐射定律,基于被测物体的辐射热效应进行工作的。它通常由辐射敏感元件、光学系统、显示仪表及辅助装置等几大部分组成。辐射温度计是最古老、最简单、较常用的非接触式高温检测仪表,过去习惯称之为全辐射温度计。虽然此种仪器有能聚集被测物体辐射能于敏感元件的光学系统,但实际上任何实际的光学系统都不可能全部透过或全部反射所有波长范围的全部辐射能,所以把它直接称之为辐射温度计,似乎更合理一些。
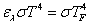
辐射温度计与光学高温计一样是按绝对黑体进行温度分度的,因此用它测量非绝对黑体的具体物体温度时,仪表上的温度指示值将不是该物体的真实温度,我们称该温度为此被测物体的辐射温度。由此,我们可以给辐射温度定义为:黑体的总辐射能量等于被测非黑体的总辐射温度。其数学表达式为
(3)
表1 一些材料在给定温度范围内的全发射率 (点击下图)

亦即
(4)
式中,T为被测物体的真实温度;TF被测物体的辐射温度;εT为被测物体的全发射率。
由于0<εT<1,所以,辐射温度εT总要低于物体的真实温度,现将一些常用材料在给定温度范围内的全发射率列于表1中,供参考。
值得注意的是,εT与光谱发射率ελ一样,涉及的因素很多,它随物体的化学成分、表面状态、温度及辐射条件的不同而改变。例如金属镍,在1000~1 400℃范围内,<εT=0.056~0.069;在类似温度范围内氧化镍的<εT却为0.54~0.87,大致相差一个数量级。又如磨光的铂在260~538℃范围内,<εT=0.06~0.10;而在完全相同的温度范围内,铂黑的高达0.96~0.97。由此可见,被测物体的化学成分或表面状态的差异,均可能造成<εT的很大变化。
辐射温度计的敏感元件,分光电型与热敏型两大类
(1)光电型 常用的有光电倍增管、硅光电池、锗光电二极管等。这类敏感元件的特点是响应速度极快,而同类元件光电特性曲线一致性不是很好,故互换性较差。
(2)热敏型 常用的有热敏电阻、热电堆(由热电偶串联组成)等。这类敏感元件的特点是对响应波长无选择性,灵敏度高,同类元件的热电特性曲线一致性好,响应时间常数较大,通常为0.01~1S。
辐射高温计光学系统的作用是聚集被测物体的辐射能。其形式有透射型和反射型两大类。光学系统中的物镜通常为平凸形透镜。透镜的材料选用取决于温度计测温范围。测温范围为400~1 200℃时,应选石英玻璃材料(它可透过0.3~0.4μm的光谱段);当测温范围为700~2 000℃时,透镜材料应选用K-9 型光学玻璃(透过光谱段为0.3~2.7/μm)。所以测量范围不同的辐射温度计的物透镜材料是不同的。图3是采用热电堆作敏感元件的辐射温度计结构示意图。
辐射高温计的测量仪表按显示方式可分为自动平衡式、动圈式和数字式三类。它们均包括测量电路、显示驱动电路、指示器;数字式测量仪表还包括模拟/数字转换电路。自动平衡式测量仪表需有平衡驱动的执行器,如小型步进电机。
辐射高温计的辅助装置主要包括水冷却和烟尘防护装置。与光学高温计相比较,辐射高温计的测量误差要大一些。其原因是被测物体的光谱发射率e。比其全辐射发射率<εT,稳定、准确。另外在λ=0.66μm时,光谱辐射能的增加量比全辐射能的增加量大得多,故光学高温计的灵敏度高。鉴于以上原因,辐射高温计在使用上远不及光学高温计普遍,并有进一步被淘汰的趋势。

图3 全辐射高温计的构造不意图
1-物镜;2-光阑;3-铜壳;4-玻璃泡;5-热电堆;6-铂黑片;7-吸收玻璃;8-目镜:9-小孔;10-云母片
全站搜索