流体经导直后沿平行于管道轴线的方向以平均速度u冲击叶片,使涡轮旋转,涡轮叶片与流体流向成θ角,流体平均流速u可分解为叶片的相对速度ur和切向速度us,如图1所示,切向速度
us=tanθ
而当涡轮稳定旋转时,叶片的切向速度
us=wR
则涡轮转速为
式中,R为涡轮叶片的平均半径。
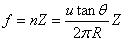
可见,涡轮转速n与流速u成正比。而磁电转换器所产生的脉冲频率为
(1)
式中,Z为涡轮叶片的数目。
则流体的体积流量方程为
(2)
式中,A为涡轮的流通截面积;ξ为流量转换系数, ξ=Ztanθ/2πRA

图1 涡轮叶片速度分解图 2 ξ与流量的关系曲线
流量转换系数ξ的含义是单位体积流量通过磁电转换器所输出的脉冲数,它是涡轮流量计的重要特性参数。由式(2)可见,对于一定的涡轮结构,流量转换系数为常数。因此流过涡轮的体积流量qV与脉冲频率f成正比。但是由于涡轮轴承的摩擦力矩、磁电转换器的电磁力矩以及流体和涡轮叶片间的摩擦阻力等因素的影响,在整个流量测量范围内流量转换系数不是常数,它与流量间的关系曲线如图2所示。由图中可见,在小流量时,ξ值变化很大,这主要是由于各种阻力矩之和与叶轮的转矩相比较大;当流量大于某一数值后,ξ值才近似为一个常数,这就是涡轮流量计的工作区域,因此涡轮流量计也有测量范围的限制。
全站搜索