概念: 1.单音调制的WBFM信号时间表示式 设调制信号为单频余弦信号 |
 |
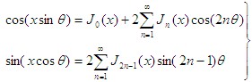
为了将上式进一步展开,需借助贝塞尔函数的性质。 阶第一类贝塞尔函数 |
 |
随 变化的曲线 |
 |
| 图4.5.5 第一类贝塞尔函数曲线 |
| 贝塞尔函数的主要性质如下: |
 |
在此基础上,将 展开为傅里叶级数有 |
 |
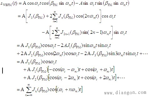
| 利用贝塞尔函数的性质和两个表达式,整理得宽带调频信号的时域表示式 |
 |
说明:单音调制的宽带调频信号由一系列幅度不同、频率不同的余弦信号相加构成,含有无穷多个频率分量。 2.单音调制的WBFM信号的频谱 对上式求傅立叶变换,得到宽带调频信号的频谱 |
 |
 |
图 时WBFM信号的频谱图 |
宽带调频信号的频谱特点:包含由载频及无穷多次上、下边频分量,这些边频对称的分布在载频的两侧,尽管其频谱分量无限,但主要成分集中在一定的频率范围内,具有有限带宽。 3.宽带调频的带宽 带宽原则上根据边频幅度与未调制时载波幅度之比来定义。一般当比值取10%时,边频的幅度等于或超过未调制载波幅度的10%的( )为有用边带。由贝塞尔函数性质2)可知,当 时, 。根据这个原则,调频信号的带宽定义为 |
 |
| 或 |
 |
因为 ,所以上式又可写作 |
 |
| 或 |
 |
用上述公式求解带宽的方法称为卡松规则。 当 时 |
 |
这是窄带调频的情况。 当 时 |
 |
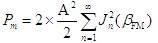
这是高指数宽带调频的情况,此时WBFM的带宽由最大频偏决定,即由调制信号的幅度决定。 3.宽带调频信号的功率分配 调频信号的功率 |
 |
上式表明:已调信号的总功率等于未调制时的载波的功率。 设 和 分别代表载频功率和各次边频功率的总和。 载波功率: 边带功率: |
-
标签: