1、同频干扰 频率复用意味着在一个给定的覆盖区域内,存在着许多使用同一组频率的小区,这些小区叫做同频小区;这些同频小区之间的信号干扰叫做同频干扰。 2、减少的措施 为了减小同频干扰,同频小区必须在物理上隔开一个最小的距离,为传播提供充分的隔离。 可以采用定向天线减小同频干扰。 3、频率复用距离D与小区簇的关系 频率复用距离D (即同频距离) : D是指最近的两个频点小区中心之间的距离在小区中心作两条与小区的边界垂直的直线,其夹角为120o。此两条直线分别连接到最近的两个同频点小区中心,其长度分别为i和j,见图1,于是D为 |
 |
式中D:同频小区的距离 N: 单位无线区群中的小区数目 R:小区半径 :邻区中心之间距离 |
 |
| 图1 N=7 频率复用设计示例 5、(区群)簇的意义 |
5、(区群)簇的意义 参数Q称为同频复用比 |
 |
 |
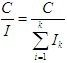
Q值越小则容量越大;而Q值大可以提高传播质量,因为同频干扰小。实际的蜂窝系统中,需要对通信质量和系统容量这两个目标进行协调和折衷。 6、载干比与区群的关系 C---移动台的接收的载波功率;I---移动台的接收的同频干扰功率。 若设有K个同频干扰小区,则移动台接收的载干比可表示为 |
 |
问题: 满足同频载干比最低门限时,要求的小区簇数目N至少多大? 设各基站发射功率相同,各基站到移动台距离近似相等(等于D);采用全向天线,六个干扰源。移动无线信道的传播特性表明:路径损耗正比于传播距离的γ次方(一般γ取4 )。 |
 |
 |
得到载干比门限 与小区簇数目N的关系为: |
(1) |
所要求的 越小,N越小,每个小区可用信道数越多,系统容量越大。 7、TACS模拟蜂窝系统中,通常 ,根据(1)式可得出,簇N最小为6.49,故一般取小区簇的最小值为N =7, 即:7个小区为一簇 GSM数字蜂窝系统中,通常 ,同理,根据上式可得出,3或4个小区为一簇,所以GSM系统容量更大。 例题1:蜂窝小区的六个同频干扰分布如图。MS处于小区边缘‘o’,要求载干比在最不利的情况下应达到规定的门限值(C/I)s,分别计算下列两种条件下区群N至少为几个?若总频段宽度W=25MHZ,等效信道间隔B=25KHZ,试比较下列两种条件下的通信容量。 (1)(C/I)s=18dB (2)(C/I)s=12dB |
 |
解答: 区群(簇)数 |
 |
通信容量用每小区分配的频道数k表示,则 |
|
-
标签: