首页
电工知识
机械维修
仪器仪表
工业控制
试题总结
安全用电
电力配电
电工配件
导航
本站搜索
电工知识
机械维修
仪器仪表
工业控制
试题总结
安全用电
电力配电
电工配件
家电弱电
业界资讯
通信技术
你的位置:
首页
>
通信技术
>
移动通信
自由空间的无线电传播
2016-10-22 11:11:05 | 人围观 |
评论:
无线传输的一个基本概念是全向天线----在所有方向等发射的天线,在实际应用中,全向天线是不存在的,所有天线都有一定的方向性。但全向天线仍可作为与其他天线进行比较的参照物,说明天线的相关基础概念。
考虑一个全向辐射源,它在所有方向的发射功率均为P
T
(W),每单位面积的功率或功率通量密度为
即信源每单位时间辐射能量一定分布在包围信源的球面上
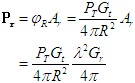
接收功率Pr为
式中,Pt为发射功率,以球面波辐射,λ为工作波长, Gt,Gr分别表示发射天线和接收天线增益,d为发射天线和接收天线间的距离。
1、自由空间的传播损耗L定义为
当Gt=Gr=1时,自由空间的传播损耗L为
分贝式
上式表明d倍程或f倍频变化,损耗有6dB变化;
2、传播损耗与接收功率关系
在移动通信系统中,接收电平的动态范围很大,常用dBW或dBm为单位表示接收电平。
Pr(dBm)=10lgPr(mW);Pr(dBW)=10lgPr(W);0 dBW=30 dBm
例1:2W 换算dBW、dBm为多少?
3 dBW=33dBm
其中Pr、PT为接收、发射功率,L为传播损耗,Gb、 Gm为BS、MS天线增益。
上式是基本链路预算方程,说明了考虑无线链路传输特性时接收功率与发射功率之间的关系。闭合链路要求上式右边为接收机提供足够的功率,以便可靠检测发射机所发射的信息,即右边必须大于接收机灵敏度。
例题2:若发射机发射功率20W, f=900MHz,G
t
=1, G
r
=1,求自由空间100m处接收功率为多少dBm?10km处接收功率为多少dBm?
解:
< 上一篇
无线移动通信信道
下一篇 >
第三代移动通信系统的结构
标签:
相关内容推荐:
2016-10-22
自由空间的无线电传播
推荐阅读
什么都不会可以学习电工吗?电工难学吗?电工应该怎么样入门?电工应该怎么样学精通?
安防门禁系统常见故障及维修方法
智能门锁用什么电池好?智能门锁电池用碳性好还是碱性好?常见5号AA电池选购指南
装修时零线火线接反了怎么办?老电工教您一招三分钟搞定
小型断路器上标数字都表示什么?小型断路器参数解析
电工经验分享:几个小窍门让你工作起来得心应手
万用表判断单相电机好坏方法图解
家装配电箱接线是否每个回路的零线都要接在零线排上?
电工入门到底该怎么样学习?电工入门应该五步走
电热水壶内部电路原理图及故障维修方法
最热文章
安装监控需要多少钱?人工费怎么算?安装监控收费标准
电容的公式
电热水壶内部电路原理图及故障维修方法
2020年电工职业资格证取消了?电工职业资格证退出国家目录
7812引脚图及参数,7812稳压电路图
雅迪电动车控制器接线图解读
plc编程工资多少一个月
汽车电动车窗的组成和电路图工作原理图解
新版电工证是不是只有电子版?电工证二维码能造假吗?新二维码电工证照图片
漏电保护器图形符号和文字符号
全站搜索