蜂窝系统的无线容量可定义为: 信道/小区 其中m――无线容量大小 Bt ――分配给系统的总的频谱 Bc ――信道带宽 N ――频率重用的小区数 1、FDMA和TDMA蜂窝系统的容量 对于模拟FDMA蜂窝移动通信系统, 频率重用的小区数为N,N由所需的载干比决定,即 则FDMA的无线容量 信道/小区 2、对于数字TDMA系统 数字信道所要求的载干比可以比模拟制的小4~ 5dB(因数字系统有纠错措施),因而频率复用距离可以再近一些。可采用N=4、3的复用方式。 则TDMA的无线容量 其中,设载波间隔为Bc,每载波共有M个时隙,则等效带宽为 3、CDMA蜂窝系统的容量 CDMA系统的容量是干扰受限的,而FDMA和TDMA系统的容量是带宽受限的。因此干扰的减少将导致CDMA容量的线性增加。决定系统容量的主要参数 ①处理增益 ②Eb/N0、 ③话音负载周期、 ④频率再用效率、 ⑤以及基站天线扇区数 (1)一般扩频通信系统的容量 先不考虑蜂窝系统的特点,接收信号的载干比可写成: |
 |
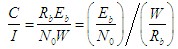
式中Eb:信息的比特能量; Rb:信息的比特速率; N0:干扰的功率谱密度 W:信号所占的频谱宽度; Eb/Rb:类似于归一化信噪比,其取值决定于系统对误 比特率或话音质量的要求,并与系统的调制方式和编码方案有关; W/Rb:系统的处理增益。 若m个用户共用一个无线频道,显然每一用户的信号都受到其他m个用户信号的干扰。假设到达一个接收机的信号强度和各干扰强度都相等,则载干比为: |
 |
| 如果考虑背景热噪声,则能够接入此系统的用户数可表示为: |
 |
结果表明在误比特率一定的条件下,降低热噪声功率,减小归一化信噪比,增大系统的处理增益都将有利于提高系统的容量。 (2)CDMA蜂窝通信系统的容量 考虑反向功率控制和CDMA蜂窝通信系统的特点,对一般公式进行修正 ①采用话音激活技术--提高系统容量 在典型的全双工通话中,话音的激活期(占空比)d 通常小于35%,如果CDMA系统在话音停顿时停止信号发射,其他用户受到的干扰会相应地平均减少65%,从而使系统容量提高到原来的1/d=2.86倍。CDMA系统的容量公式被修正为 |
 |
| 当用户数目庞大并且系统是干扰受限而不是噪声受限时,用户数可表示为 |
 |
②利用扇区划分--提高系统容量 如利用120o扇形覆盖的定向天线把一个蜂窝小区划分成3个扇区时,处于每个扇区中的移动用户是该蜂窝的三分之一,相应的各用户之间的多址干扰分量也就减少为原来的三分之一,从而系统的容量将增加近3倍(实际上,由于相邻天线覆盖区之间有重叠,一般能提高G=2.55倍左右,G为扇区分区系数),CDMA系统的容量公式被修正为 |
 |
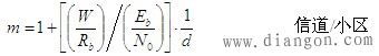
③邻区干扰--降低系统容量 在CDMA系统中,所有用户共享一个无线频率,因此任一小区的移动台(基站)都会受到相邻小区基站(移动台)的干扰。假设各小区的用户数为M,M个用户同时发射信号,理论分析表明,正向信道和反向信道的干扰总量对容量的影响大致相等。因而在考虑邻近蜂窝小区的干扰对系统容量影响时,一般按正向信道计算。 当系统采用正向功率控制技术时,由于路径传播损耗的原因,移动台最不利的位置是处于3个小区交界处(图6.12 MS点);在采用功率控制时,每小区同时通信的用户数将下降到原来的60%,即信道复用效率F=0.6,使系统容量下降到未考虑邻区干扰时的60%,CDMA系统的容量公式被修正为 |
 |
 |
| 图6.12 CDMA系统移动台受干扰示意图 |
(3)三种系统容量的计算 给定的一个窄带码分系统的总频宽Bt =1.25MHz 模拟TACS系统(FDMA方式) 设:信道带宽Bc=25kHz 频率重用的小区数N =7 得TACS系统容量 (信道/小区) 数字GSM系统(TDMA方式) 设:载频间隔 Bc=200kHz 每载频时隙数为 8 频率重用的小区数 N =4 得GSM系统容量 (信道/小区) 数字CDMA系统 设:话音编码速率Rb=9.6kbit/s 话音占空比 d=0.35 扇形分区系数 G=2.55 信道复用效率 F =0.6 归一化信噪比 Eb/N0=7dB 得CDMA系统容量 |
(信道/小区) |
FDMA/TDMA/CDMA三种系统容量的比较: 理论可得:在总频带宽度为1.25MHz时,三种体制的系统容量的比较结果为: |
 |
| 实际的CDMA系统的容量比理论值有所下降,其下降多少将随着其功率控制精度和某些参数的选取而变化;当前比较普遍的看法是CDMA数字蜂窝移动通信系统的容量是模拟FDMA系统的8~10倍。 |
-
标签: