2023-07-07 11:25:30 | 人围观 | 评论:
随着宽禁带半导体技术的日益普及,需要在高温和苛刻的电流循环条件下,对二极管操作进行各种耐久性测试,以评估其性能。毫无疑问,功率电子器件作为基本元器件,将在未来几年中持续发展。而新型碳化硅(SiC)半导体材料更是不负众望,它比传统硅材料导热性更佳、开关速度更高,而且可以使器件尺寸做到更小。因此,碳化硅开关也成为设计人员的新宠。
碳化硅二极管主要为肖特基二极管。第一款商用碳化硅肖特基二极管十多年前就已推出。从那时起,它就开始进入电源系统。二极管已经升级为碳化硅开关,如JFET、BJT和MOSFET。目前市场上已经可以提供击穿电压为600-1700 V、且额定电流为1 A-60 A的碳化硅开关。本文的重点是如何有效地检测Sic MOSFET。

图1: 首款商用SiC MOSEFT-CMF20120D。
碳化硅二极管
最初的二极管非常简单,但随着技术的发展,逐渐出现了升级的JFET、MOSFET和双极晶体管。碳化硅肖特基二极管优势明显,它具有高开关性能、高效率和高功率密度等特性,而且系统成本较低。这些二极管具有零反向恢复时间、低正向压降、电流稳定性、高抗浪涌电压能力和正温度系数。
新型二极管适合各种应用中的功率变换器,包括光伏太阳能逆变器、电动车(EV)充电器、电源和汽车应用。与传统硅材料相比,新型二极管具有更低的漏电流和更高的掺杂浓度。硅材料具有一个特性,就是随着温度的升高,其直接表征会发生很大变化。而碳化硅是一种非常坚固且可靠的材料,不过碳化硅仍局限于小尺寸应用。
检测碳化硅二极管
本文要检测的碳化硅二极管为罗姆半导体的SCS205KG型号,它是一种SiC肖特基势垒二极管(图2)。其主要特性如下:
反向电压Vr:1200 V
连续正向电流If:5 A(+ 150℃时)
浪涌非重复正向电流:23 A(PW = 10ms正弦曲线,Tj = + 25℃
浪涌非重复正向电流:17 A(PW = 10ms正弦曲线,Tj = + 150℃)
浪涌非重复正向电流:80 A(PW = 10μs方波,Tj = + 25℃)
总功耗:88 W
结温:+ 175℃
TO-220AC封装

图2: 罗姆SCS205KG SiC二极管。
罗姆半导体公司的SCS205KG SiC二极管性能稳固,恢复时间短且切换速度快。其官方SPICE模型允许用户在任何条件下对器件进行仿真。
正向电压
首先,我们测量SiC二极管的正向电压。图3所示为一个简单的测试电路及其三维示意图,以及在不同的工作温度下,器件数据手册中有关正向电压的相关数据摘录。

图3:SiC二极管的正向电压测试原理图。
测试接线图中,肖特基SCS205KG SiC二极管与一个阻值约6.7欧姆的电阻串联,以允许5 A的电流通过电路。其电源电压设置为36V。为了更好地优化功耗和散热性能,我们使用了十个并联的67欧姆电阻,以模拟单个6.7 ohm电阻。每个电阻的功率必须至少为20W。肖特基二极管SCS205KG的数据手册中明确了在各种工作温度下器件两端的电压值:
If=5A, Tj=+25℃: 1.4 V
If=5A, Tj=+150℃: 1.8 V
If=5A, Tj=+175℃: 1.9 V
这些数据说明了二极管两端的电压高度依赖于温度。因此,设计人员必须尽可能地抑制这种电压波动,以免影响最终的系统性能。我们使用如下的SPICE指令,在0℃至200℃的温度范围内进行直流扫描仿真,以测量功率二极管两端的电压:
DC temp 0 200 25
仿真结果返回了在不同温度下二极管上的电压值,这些数据完全符合器件数据手册中提供的指标。其中红色框中包含了文档中报告的测试温度。

表1:温度与测得电压值。(麻烦将制作成表格形式)
如图4所示,随着温度的变化,绿色曲线表示二极管阳极上固定的36 V电压,黄色曲线表示阴极上的电压变化。其电位差构成了“正向电压”。由于阳极和阴极的电压之间存在代数差,从图中可以观察到器件上存在电位差。该测试必须在几秒钟内完成。
电容电抗
其次,我们测量SiC二极管的电容电抗。图5所示为简单的测试电路及其三维示意图。

图4:SiC二极管电容电抗测试示意图。
在电路图中,肖特基SiC二极管SCS205KG与一个阻值低至约0.1欧姆的电阻串联。另有一个阻值很高的第二电阻与二极管并联。电源电压是设置为1 V的正弦波电源。我们可以执行如下的SPICE指令进行AC仿真,在200 MHz至2 MHz频率范围内,对功率二极管的电容电抗进行测量:
AC lin 1000 0.2Meg 2Meg
仿真结果(参见图6)显示出在正弦波不同频率下的不同电容电抗。

图5:该仿真在频域中测量SiC二极管的电容电抗。二极管表现为一个小型电容器,容值取决于所承受的频率。
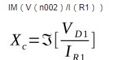
如图7所示,我们采用如下公式测量二极管的电容电抗。它发生在频域中的AC。
IM(V(n002)/I(R1))

图6:二极管电容电抗的计算公式。
二极管可以用电容器代替,以便用真实器件来执行另一个仿真。
反向电流
第三个要测量的是SiC二极管的反向电流。图8所示为一个简单的测试电路及其三维示意图,以及在不同的工作温度下,器件数据手册中有关反向电流的相关数据摘录。

图7:SiC二极管反向电流的测试示意图。
电路图(图8)中,肖特基SiC二极管SCS205KG与一个阻值低至约0.1欧姆的电阻串联。电源电压是设置为1200 V的正弦波电源。二极管以反向模式连接。我们采用如下SPICE指令,执行DC仿真(扫频),测试在+ 20℃至+ 200℃的温度范围内流过二极管的反向电流。
DC TEMP 20 200 1
该仿真测试了SiC二极管两端的反向电流在温度域的变化情况。
(电压V与电流I)显示了在+ 25℃的恒定温度下,当施加到二极管的电压在0 V至1200 V之间变化时,反向电流的变化曲线。
结论
碳化硅二极管具有非常快速的恢复时间,这可提高开关速率,并减小磁性元件和其它无源元件的尺寸,从而使最终产品具有更高的功率密度。对于电源开关应用,碳化硅二极管在效率和热性能方面也具备显著的优势。这种器件可以在更高的温度下运行,而温度是改变电子器件工作条件的重要因素。如果采用真正的SiC器件进行真实测试与仿真会更加有趣,这样可以评估仿真器以及SPICE模型的功效和实用性。
责任编辑:pj
全站搜索