2023-09-26 11:26:13 | 人围观 | 评论:
近年来,随着红外探测器技术及其加工工艺的发展与完善,红外光学系统在机器视觉领域的应用日益广泛,可见光和短波红外是目前较为常用的光电成像波段。短波红外主要来自于地物目标反射环境中的红外辐射,具有较强的抗干扰能力,兼具隐蔽性好、不受光照条件限制的优点。但红外成像系统存在空间分辨率低、对比度弱、立体感差和信噪比低的缺点。因此,在光照条件差的情况下利用红外光成像实现对目标的观测,弥补可见光在差光照条件下的缺陷;在光照条件好的情况下利用可见光成像实现对目标的高分辨率观测,同时利用红外光获取目标更详细的信息。
据麦姆斯咨询报道,近期,南通大学、西安交通大学、南京华群光电技术有限公司和中国科学院西安光学精密机械研究所的联合科研团队在《红外与激光工程》期刊上发表了以“宽光谱可见-短波红外成像光学系统设计”为主题的文章。该文章第一作者为南通大学宣斌副研究员,主要从事精密光学加工和检测的研究工作;通讯作者为中国科学院西安光学精密机械研究所王亚军副研究员,主要从事图书情报的研究工作。
本文结合机器视觉工程应用需要,使用光学设计软件ZEMAX设计了一种宽光谱可见-短波红外成像光学系统。
光学系统选型
光学系统结构选型
光学系统结构的选择与该系统的应用场景密切相关,在机器视觉领域中,短波红外波段的成像系统往往具有大视场、小畸变和成像质量稳定的特点。合理地选择光学系统结构能够降低设计的复杂度。常用的光学系统结构分折射系统、反射系统、混合系统三类,不同的光学系统结构各有优劣。
(1)折射式光学系统结构。折射式系统通过透过光经折射后进行观察,是光学结构选型中较为广泛使用的形式。按照常规的加工、装调手段即可达到精度的要求,具有像质稳定、杂光小、元件透过率高的特点。但折射式系统容易产生像差,在可用于宽谱段下的透射材料种类相对有限。典型的折射式光学结构如图1所示。

图1 折射式光学系统结构
(2)反射式光学系统结构。反射式系统通过反射附件,用反射光来观察,广泛应用于红外热成像领域中。具有无色差、工作波段宽、易于实现无热化等特点。但反射结构增加了光学系统体积,同轴反射系统的中心遮拦造成了光通量的损失,降低了系统的调制传递函数和信噪比;离轴反射系统解决了遮拦问题,但给系统装调造成困难。典型的两种反射式光学系统结构如图2所示。

图2 反射式光学系统示意图
(3)折反射式光学系统结构。折反射式光学系统是将折射式和反射式的特点相结合设计,来实现实际工程的需要。综合了不同光学系统结构的优势,能够降低光学系统结构复杂性和像差校正的难度。但其中非球面的反射镜加工难度大,成本高,稳定性差,而且非球面和衍射元件的精细结构增加了相机加工装调的难度。典型的折反射式光学系统结构如图3所示。

图3 折反射式光学系统结构
综上所述,针对文中的宽光谱可见-短波红外成像光学系统作为机器视觉检测的工业镜头,应尽量满足轻量化和大视场的设计要求,同时还要保持较高的光通量。反射式结构的轴外像差校正困难,视场难以做大;折反式结构次镜形成中心遮拦,并随着视场和相对孔径的增大,遮拦比迅速增加,使成像对比度、分辨率及探测能力下降。无论是考虑成像性能还是性价比,折射式系统都是本例大视场、低畸变、结构紧凑的理想选择。
非球面面型参数的求解
非球面光学元件是指面形由多项高次方程决定、面形上各点的半径均不相同的光学元件。虽然非球面的加工制造比较困难,但具有明显的消除单色像差的效果,在机器视觉检测的工业镜头中也应用的越来越广泛。非球面与球面相比有很大的优势:非球面可以提高系统的相对口径比,扩大视场角,在提高光束质量的同时透镜数比球面构成的少,镜头的形状小型化,可减轻系统质量等。
系统光学设计
镜头总体设计指标及初始结构确定
一个光学系统的设计一般分为以下几步:(1)确定光学系统的结构参数;(2)利用PW方法求解初始结构参数或选择已有相应的初始结构参数;(3)像差校正;(4)像质评价;(5)确定各光学元件的公差;(6)绘制光学系统图和光学组件零件图。
根据实际应用的情况,宽光谱可见-短波红外成像光学系统结构设计中主要考虑的参数有:透镜材料、工作波段、焦距、F数、视场角、系统总长等。通过对宽谱段红外成像系统参数的分析,最终光学系统选择折射式结构,采用分辨率为2448 pixel×2048 pixel的CMOS面阵探测器,像元大小为3.45 μm,靶面尺寸为2/3 in(1 in=2.54 cm),镜头在0~50 ℃工作温度范围内具有稳定的光学性能和良好的成像质量。光学系统性能参数如表1所示。
表1 光学系统性能参数

一个良好的初始结构能够使像差在校正过程迅速收敛,光学设计中第一个关键步骤就是如何选择合适的初始结构,如果已知光学系统的结构参数等信息,则可以通过对光学系统进行光线追迹、计算像差和成像质量的评价。当光学系统较为简单时,根据相关的初始系统设计指标,利用赛德尔像差理论建立像差平衡方程和PW法来求解初始结构。随着计算机辅助优化技术的发展,现代光学设计软件中内置了大量的光学系统模型,当光学系统较为复杂时,根据焦距、相对孔径等参数就可以对比出与初始系统设计指标相近的初始结构,此次设计查询了相关专利,采用第二种方法来确定系统的初始结构。
像差校正及优化评价
系统初始结构确定后,最终得到成像性能好的系统,需要经过后续反复像差校正过程,同时也需要对其结构进一步优化,具体的优化设计过程如下。
根据表1给出的光学设计指标,通过改变镜头诸面的面型参数改变透镜的厚度及透镜之间的间隔,通过更换透镜材料来使得镜头的像差逐步减小。在光学设计软件ZEMAX中设置透镜的曲率半径和厚度、系统焦距和长度、透镜间距等参数为变量,采用ZEMAX默认的优化评价函数,只添加一阶光学参数限制,采用变量从少到多、阶数从低到高的方式渐进优化。在每一步优化完成后,观察每次优化后系统各类像差的变化情况,增加对系统成像性能贡献较大像差项操作数的权重系数,对其有针对性地优化,判断是否需要继续增加优化变量,最终设计出满足系统各项指标的光学系统。
优化完成后的宽光谱可见-短波红外成像光学系统结构如图4所示。系统可对可见光和短波红外波段进行成像,采用7组共10片透镜,光阑位于第4片透镜的后表面,第10片透镜的前表面采用非球面。系统总长为79.6 mm,入瞳直径为9.9 mm,F数为2.8。

图4 光学系统结构图
图5所示为宽光谱可见-短波红外成像系统的点列图,从图中可以看出,RMS半径最大为5.623 μm,GEO半径最大为26.431 μm。点列图中的弥散斑半径越小,光学系统的成像质量越好。5个视场的点列图都很接近艾里斑,接近衍射极限,满足成像要求。

图5 光学系统点列图
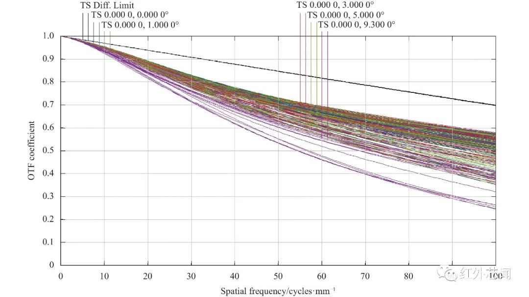
图6所示为宽光谱可见-短波红外成像系统的调制函数曲线,光学传递函数是目前被公认的最能充分反映系统实际成像质量的评价指标。在奈奎斯特频率100 lp/mm时,各视场的MTF值均高于0.4,接近衍射极限,成像质量良好。

图6 调制传递函数曲线
图7所示为宽光谱可见-短波红外成像系统的像散、场曲和畸变曲线。从图中可以看出,其最大像散和场曲为0.1 mm,最大畸变为1.4%,数值非常小,满足系统设计对场曲和畸变的要求。

图7 像散、场曲及畸变曲线
可行性分析
公差分析
系统设计完成后需要对其进行公差分析,把实际加工、装调时所产生的相关误差考虑进去,给予一定的公差分量。在该系统的公差分析过程中,需要给所有光学元件分配合理的公差,使光学探测系统的探测性能达到要求,并使光学元件的成本、装配和校准的成本达到最低,从而使整个系统的性能达到最优。
按照经验及实际工艺水平,先给出较为宽松的各参量公差预定值,对设计结果进行公差分析,找出特别敏感的公差,对其进行重新分配。图8所示为预设公差值。

图8 预设公差值
以衍射MTF平均为评价标准进行系统的公差分析,图9为进行100次蒙特卡洛分析的MTF曲线图,表2为进行公差优化后的蒙特卡洛分析结果。分析表明:在100 lp/mm时,MTF的名义值为0.559,最佳0.554,最差0.333,平均0.481,标准偏差0.052;90%的镜头MTF≥0.410,50%的镜头MTF≥0.427,10%的镜头MTF≥0.540。由此可以看出,MTF在所给公差下满足技术指标要求。

图9 蒙特卡洛分析MTF曲线图
表2 蒙特卡洛分析结果

实验论证
在实际检测过程中,整个系统由光源、镜头、相机、图像处理单元、图像处理软件和输出单元等组成。为进一步验证所设计的光学系统的成像性能,经过在实验室的成像观察对比如图10所示。第一幅对比:图10(b1)是农产品通过可见光波段的相机拍摄的效果,图10(a1)是在短波红外相机下的效果,农产品内部的瘀伤能被短波红外穿透表皮探测到,而这在人眼是看不到的。这是由于当水果在碰伤时细胞壁会破裂,该区域的水分含量更高,瘀伤中的水几乎都是黑色的,因为它在1450~1900 nm都有很强的吸附性,这种吸附性使得通过SWIR成像能在成像的物体图像中清晰看到瘀伤。第二幅对比:图10(b2)是在可见波长上不透明的塑料,图10(a2)是在SWIR范围内变成半透明的塑料,SWIR这种光穿透塑料的能力为检测密封塑料容器内的产品体积提供了新的方法。

图10 短波红外-可见光成像对比图
结论
随着机器视觉对复合图像信息需求的增长,现代光学成像技术必然向可见光近红外波段之外扩展,短波红外因其媲美可见光的分辨率和独特的光学性能在未来将得到更加广泛的应用。文中设计了一种能够在0.4~1.7 μm波段下工作的宽光谱可见-短波红外成像系统,该系统由7组10片透镜组成,调制传递函数值在奈奎斯特频率100 lp/mm处均大于0.4,系统F数为2.8,畸变小于1.4%,各种像差都得到了较好的校正和平衡,具有较好的成像性能。所讨论的方法对今后设计类似的光学系统具有一定的参考价值。
编辑:黄飞
全站搜索