整流滤波后的电压是不稳压的,在电网电压或负载变化时,该电压都会产生变化,而且纹波电压又大。所以,整流滤波后,还须经过稳压电路,才能使输出电压在一定的范围内稳定不变。
1.稳压电路(电源)的主要性能指标
输出的稳定电压值Vo,最大输出电流Imax,输出纹波电压V~,稳压系数(电压调整率)
,
该值越小,稳定性越好
。
输出电阻(内阻)
,
,内阻越小越好。
2.串联型稳压电路的基本结构基本思路:


串联型:


当输入电压(VI)改变时,能自动调节(VCE)电压的大小,使输出电压(Vo)保持恒定。例如:VI↑→Vo↑→经取样和放大电路后→IB↓→VCE↑→Vo↓
串联型稳压电路基本结构:

VI是整流滤波后的电压,T为调整管,A为比较放大电路,VREF为基准电压,它由稳压管Dz与限流电阻R构成。R1与R2组成反馈网络,是用来反映输出电压变化的取样环节。
电路也可以改画成以下形式,以便看图方便。

如把串联稳压电路看作反馈放大器(输入为VI,输出为Vo),则这种电路属于电压串联负反馈 。
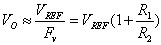
在深度负反馈条件下
,
,
。
这种稳压电路的主回路由调整管T与负载相串联构成,且T工作在线性状态,故称为线性串联式稳压电路。
输出电压Vo=VI-VCE,其变化量由反馈网络取样,并经放大电路(A)放大后去控制调整管T的基极电压,从而改变调整管T的VCE大小。
当输入电压VI增加(或负载电流Io减小)时,导致输出电压Vo增加,随之反馈电压VF=R2Vo/(R1+R2)=FvVo也增加(Fv为反馈系数)。VF与基准电压VREF相比较,其差值电压经比较放大电路放大后使调整管的VB和IC减小,于是调整管T的c-e间电压VCE增大,使Vo下降,从而维持Vo基本恒定。显然,这是电压负反馈电路基本性能。
全站搜索