2018-09-12 10:47:14 | 人围观 | 评论:

从相量图我们可以看到两侧电流之间会出现30的相位差,那怎么干掉这30°的相位差呢?当然是要通过保护装置的软件算法对相位进行校正。微机型保护装置有2种相位校正方式:三角形侧向星形侧校正(△→Y)和星形侧向三角形侧校正(Y→△)。diangon.com版权所有。我国广泛采用的是星形侧向三角形侧校正(Y→△)方式,所以本文也只讲解星形侧向三角形侧校正(Y→△)这种方式。
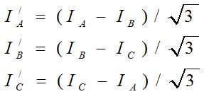
1.2星形侧向三角形侧(Y→△)校正的算法:
Y侧:
△侧:

1A=100
1.732A=173.2

Y→△相位校正相量图
我们从相量图看出:经过软件算法校正真正的目的是为了使得变压器差动回路两侧电流之间的相位一致,但是我们发现当满足了两侧电流之间的相位取得一致后Y侧电流的幅值却增大了
倍。聪明的继保人员总是能想到办法解决,那就是将Y侧进行相位校正后的电流幅值除以
。这样就既满足了电流幅值与原电流相等,同时也达到了相位偏移后幅值不变的目的。
欢迎分享到朋友圈,让身边的同行朋友一起学习,谢谢!!!
全站搜索