2016-11-08 09:35:48 | 人围观 | 评论:
实际的电阻、电感和电容元件,不可能是理想的,存在着寄生电容、寄生电感和损耗。图1是考虑了各种因素后,实际电阻R、电感L、电容C元件的等效电路

图1 电阻R、电感L、电答C元件的等效电路
(1)电阻
同一个电阻元件在通以直流电和交流电时测得的电阻值是不相同的。在高频交流下,须考虑电阻元件的引线电感L0和分布电容C0的影响,其等效电路如图1(a)所示,图中R为理想电阻。由图可知此元件在频率f下的等效阻抗为
(1)
上式中ω=2πf,Re和Xe分别为等效电阻分量和电抗分量,且
(2)
从上式可知,Re除与f有关外,还与L0、C0有关。这表明当L0、C0不可忽略时,在交流下测此电阻元件的电阻值,得到的将是Re而非R值。
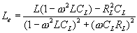
(2)电感
电感元件除电感L外,也总是有损耗电阻RL和分布电容CL。一般情况下RL和CL的影响很小。电感元件接于直流并达到稳态时,可视为电阻;若接于低频交流电路则可视为理想电感L和损耗电阻RL的串联;在高频时其等效电路如图1(b)所示。比较图1(a)和图1(b)可知二者实际上是相同的,电感元件的高频等效阻抗可参照式(1)来确定。
(3)
式中,Re和Le分别为电感元件的等效电阻和等效电感。
(4)
从上式知当CL甚小时或RL、CL和ω都不大时,Le才会等于L或接近等于L。
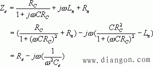
(3)电容
在交流下电容元件总有一定介质损耗,此外其引线也有一定电阻Rn和分布电感Ln,因此电容元件等效电路如图1(c)所示。图中C是元件的固有电容,RC是介质损耗的等效电阻。等效阻抗为
(5)
式中,Re和Ce分别为电容元件的等效电阻和等效电容,且
(6)
一般介质损耗甚小,可忽略(即Rc→∞),则上式简化为
(7)
由上式可知,若Ln越大,频率越高,则Ce与C相差就越大。
从上述讨论中可以看出,在交流下测量R、L、C,实际所测的都是等效值Re、Le、Ce;由于电阻、电容和电感的实际阻抗随环境以及工作频率的变化而变化,因此,在阻抗测量中应尽量按实际工作条件(尤其是工作频率)进行,否则,测得的结果将会有很大的误差,甚至是错误的结果。
全站搜索