概念:二进制相移键控(2PSK和2DPSK)是利用二进制数字基带信号去控制连续载波的相位,其相位携带数字基带信号的信息。 二进制相移键控可分为二进制绝对相移键控(2PSK)和二进制相对相移键控(2DPSK)。 一、2PSK与2DPSK的时域与频域分析 1.二进制绝对相移键控(2PSK) 2PSK信号用码元的初相位表示数字基带信号。 例如用相位0和 分别表示二进制信号“0”和“1”。(也可以取相反的形式) 2PSK信号的时间波形为 |
 |
| 图1 2PSK信号的时间波形 |
| 2PSK信号的时间表达式 |
 |
| 其中 |
 |
| 可以看出,2PSK信号相当于用矩形双极性不归零数字基带信号与载波相乘,故也可表示成 |
 |
| 2PSK的实现方式如图2所示, |
 |
| 图2 2PSK信号的产生方式 |
2PSK信号的解调通常都是采用相干解调,但在相干解调过程中需要用到与接收的2PSK信号同频同相的相干载波,由于本地载波的载波相位是不确定的,因此,解调后所得的数字信号的符号也容易发生颠倒,这种现象称为相位模糊。这是采用绝对相移键控的主要缺点,因此这种方式在实际中已很少采用,在实际应用中使用较多的是二进制相对(差分)相移键控(2DPSK)。 2.二进制相对相移键控(2DPSK) 2DPSK是利用前后相邻码元载波相位的相对变化表示数字信息。 相对相位 定义为本码元初相与前一码元初相的差,符合CCITT国际标准的 与数字信息的关系有 |
 |
| 或 |
 |
| 由第一种定义可画出数字信息为001101的2DPSK信号的时间波形如图3所示。 |
 |
| 图3 2DPSK信号的时间波形 |
2DPSK信号可以看做是对数字基带信号 先进行差分编码,再进行2PSK调制的结果。原理框图如图4所示。 |
 |
| 图4 2DPSK信号的产生方式 |
其中差分编码电路的功能是将绝对码 变成相对码 ,具体变换关系如下:  |
例如: 绝对码 : 0 0 1 1 0 1 相对码 : 0 0 0 1 0 0 1 |
可见,对绝对码进行相对调相等价于对相对码进行绝对调相。 在解调2DPSK信号时,只要前后码元的相对相位关系不被破坏,则鉴别这个相位关系就可正确恢复数字信息,这就避免了2PSK方式中的相位模糊现象的发生。另外,相对相移键控使接收设备简单化,因此,相对相移键控得到广泛的应用。 3.相移键控信号的矢量表示 我们还可以用图5所示的矢量图表示相移键控信号。图中,虚线矢量位置称为参考相位。 |
 |
| 图5 二进制相移键控信号的矢量图 |
在2PSK中,参考相位是未调载波的相位; 在2DPSK中,参考相位是前一码元载波的相位。 CCITT将图5(a)的定义方式称为A方式,在这种方式中,每个码元的载波相位相对于基准相位可取0和π;因此,在2DPSK中,若后一码元的载波相位相对于基准相位为0。则前后两码元载波的相位是连续的;否则,载波相位在两码元之间发生突跳。图5(b)定义的方式称为B方式,在这种方式中,每个码元的载波相位相对于基准相位可取±π/2。因而,在2DPSK中,相邻码元之间必然发生载波相位的跳变。这样在接收该信号时,如果利用检测此相位变化以确定每个码元的起止时刻,即可提供码元定时信息。这就是B方式被广泛采用的原因之一。 3.2PSK与2DPSK信号的功率谱密度 从2PSK与2DPSK信号的时间波形可以看出,虽然它们的定义方式不同,但已调信号的波形是一样的,即说明它们的频率成分是相同的,因此2PSK与2DPSK信号具有相同的功率谱密度。 由2PSK的表达式 |
 |
| 的功率谱密度为 |
 |
其中, 是双极性不归零矩形基带信号 的功率谱密度。 |
 |
| 代入上式 |
 |
基带信号的“0”与“1”等概率出现,即 ,则 |
 |
又因为基带波形为宽度为 的矩形脉冲,则 |
 |
| 得2PSK信号的功率谱密度如图6所示。 |
 |
| 图6 2PSK(或2DPSK)信号的功率谱密度 |
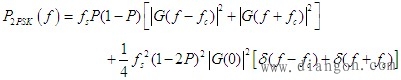
可见,二进制相移键控信号的功率谱密度与2ASK信号基本相同。 与2ASK信号功率谱密度的区别:当 时,无离散谱。 2PSK与2DPSK信号的带宽为 |
 |
为码元速率的二倍。 因为2PSK系统的传码率为 (B),其频带利用率为 |
 |
二、2PSK与2DPSK信号的抗噪声性能分析 1.相干解调时2PSK系统的误码率 2PSK信号必须使用相干解调。方框图如图7所示。与2ASK相干解调的框图相同的区别:判决门限不同,当 时,2ASK的判决门限为 ,而2PSK的判决门限为0。 |
 |
| 图7 2PSK信号的相干解调 |
| 接收端带通滤波器的输出波形为 |
 |
低通滤波器的输出波形 可表示为 |
 |
由于 是高斯过程,因此发送“1”信号时, 的一维概率密度函数为 |
 |
因此发送“0”信号时, 的一维概率密度函数为 |
 |
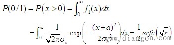
| “1”错判为“0”的概率为 |
 |
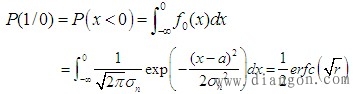
| 同理,“0”错判为“1”的概率为 |
 |
式中 为解调器的输入信噪比。 若 ,则2PSK信号采用相干解调法时的系统误码率为 |
 |
| 在大信噪比情况下,上式成为 |
 |
2. 相干解调时2DPSK系统的误码率 2DPSK信号可以采用相干解调加码反变换器方式解调,方法如图8所示。即用相干解调器将2DPSK信号解调成相对码,再用码反变换器将相对码变换成绝对码。码反变换器输入端的误码率就是2PSK信号采用相干解调时的误码率,因此,此时只需要再分析码反变换器对误码率的影响即可得出采用相干解调时的2DPSK系统的误码率。 |
 |
| 图8 极性比较―码变换的2DPSK解调方法示意 |
| 这时由抽样判决器输出数字信号(相对码)的误码率与相干接收2PSK信号的误码率相同,即 |
 |
此时只需要再分析码反变换器对误码率的影响即可,即找出 与 的关系, 就是系统的误码率。经过分析,可得 |
 |
3.差分相干解调时2DPSK系统的误码率 2DPSK信号的差分相干解调的方框图如图9所示。它是基于2DPSK信号的概念建立起来的,2DPSK信号是利用前后相邻码元的相位差 来表示数字基带信号的。因此在接收端应设法找到2DPSK信号前后相邻码元的相对相位差 。再由相对相位所对应的信号来判决恢复原数字基带信号即可。下面通过数学分析来说明2DPSK信号的差分相干解调的工作原理。 |
 |
| 图9 2DPSK信号的差分相干解调方框图 |
设接收到的2DPSK信号为 ,其中 为第k个码元的初始相位,解调过程: |
 |
式中, 为前一码元(即 码元)的相位,乘法器的输出为 |
 |
经低通滤波器滤去 频率分量信号,得 |
 |
判决规则:当 与 相同时,抽样值 ,判为“0”码; 当 与 相差 时,则抽样值 ,判为“1”码。 通过以上分析可知,分析误码率就需要同时考虑两个相邻的码元。 这里主要分析发“0”错判为“1”的概率 。 设在一个码元时间内收到的是 ,且令前一个收到的码元也是 ,此时发送端发出的基带信号应是“0”码,假设信道中存在均值为0,方差为 的高斯白噪声,则进入乘法器的两路信号为 |
 |
式中, 和 分别为无延迟支路和有延迟 支路噪声的同相分量和正交分量,通过乘法器和低通滤波器的输出 为 |
 |
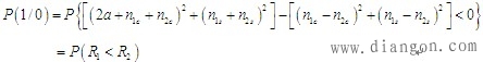
对于 的抽样值 ,判决规则是 抽样值 ,判为“0”码; ,判为“1”码。 故发送“0”码错判为“1”码的概率 就是 的抽样值 的概率,即 |
 |
| 利用恒等式 |
 |
| 可得 |
 |
| 式中 |
 |
| 得出上式的结果为 |
 |
式中 同理可求得将“1”错判为“0”的概率 。因此,2DPSK差分相干解调系统的总误码率为 |
 |
此公式表明,差分相干解调2DPSK信号时的误码率随输入信噪比的增大呈指数规律下降。 2DPSK系统的抗噪声性能不如2PSK系统,但 很大时二者的相对差别不明显。 例1 采用2DPSK信号在微波线路上传送二进制消息,已知码元传输速率 波特,接收机输入端的高斯白噪声的单边功率谱密度 W/Hz,要求 不大于10-4,试求: (1)采用差分相干解调时,接收机输入端所需的信号功率; (2)采用相干解调─码变换时,接收机输入端所需的信号功率。 解:(1)接收端带通滤波器输出的噪声功率为 |
 |
| 这里,带宽B为第一零点带宽,即 |
 |
| 对于差分相干解调的2DPSK系统,误码率与信噪比的关系为 |
 |
| 解出 |
 |
| 故接收机输入端所需的信号功率为 |
 |
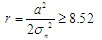
| (2)采用相干解调─码变换时 |
 |
| 即 |
 |
| 查误差函数表,可得 |
 |
| 故接收机输入端所需的信号功率为 |
 |
| 该例题说明,差分相干解调所需输入信号的功率比相干解调大,但只差0.5dB;但解调电路简单得多,所以大都采用差分相干解调。 |
-
标签: