根据反馈电路与放大电路在输入端和输出端的连接方式,负反馈分为四种方式:串联电压负反馈、并联电压负反馈、串联电流负反馈和并联电流负反馈

(1) 首先,以瞬时极性法确定反馈属于正反馈还是负反馈。
(2) 其次,判别区分电压反馈或电流反馈:
a) 电压反馈:反馈信号取自输出电压,并与之成比例;
b) 电压反馈:反馈信号取自输流电压,并与之成比例;
c) 判别方法:
输出电压短路法:将输出电压“短路”,若反馈信号消失,为电压反馈,否则为电流反馈;
观察法:除公共地线,若反馈线与输出线接在同一点上,为电压反馈,否则为电流反馈。
(3) 然后,判别区分串联反馈或并联反馈:
a) 串联反馈:反馈信号输入信号在电路输入端以电压形式作比较,两者串联;
b) 并联反馈:反馈信号输入信号在电路输入端以电流形式作比较,两者并联;
c) 判别方法:
输入短路法:将输入信号“短路”,若反馈信号消失,为并联反馈,否则为串联反馈;
观察法:若反馈信号与输入信号接到放大电路的同一输入端,为并联反馈,否则为串联反馈。
3、负反馈对放大电路工作性能的影响(1) 降低放大倍数
基本放大电路的增益(开环增益)为
(1)
反馈信号与输出信号之比称为反馈系数,以F表示
(2)
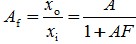
引入负反馈后,整个放大器的增益(闭环增益)为
(3)
可见,引入负反馈后,电路增益为原来的1/(1+AF)。
(1+AF)称为反馈深度,其值越大,负反馈作用越强,|Af|越小。|1+AF|>>1,称为深度负反馈,有
(4)
表明在深度负反馈情况下,闭环增益取决于反馈元件,而与开环增益无关。
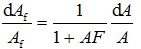
(2) 提高增益的稳定性
对式(3)求导,得
(5)
电压负反馈稳定输出电压,电流负反馈稳定输出电流。
(3) 减小输出波形的非线性失真
(4) 展宽通频带
(5) 影响电路输入、输出电阻
串联负反馈增大输入电阻,并联负反馈减小输入电阻;
电压负反馈减小输出电阻,电流负反馈增大输出电阻。
全站搜索